Доброго времени суток, уважаемые трейдеры!
Пара корректируется и формирует бычью неопределенную волну А/В (Н1). Ключевой уровень находится на отметке 1,2867 (месячный и недельный объем фьючерса) и играет роль уровня баланса флета. Рост пары ограничен сильным сопротивлением на уровне 1,2975 (предыдущий месячный объем). Для дальнейшего снижения необходимо пробивать 1,2975. В этом случае, ближайшая цель будет находиться на уровне 1,2745 (апрельский минимум). В целом, флет и ситуация неоднозначная.
Основные. EUR/USD. Аналитика. Страница - 163
Сообщений: 587 |
Прикрепленные файлы:
| ||||
Сообщений: 1160 |
![]() | ||||
Сообщений: 2582 |
Уровень сопротивления по паре по сути не пробит не смотря на стремительный рост курса евро,с коротким стопом на 1,2905 можно продавать пару в краткосрочную перспективу,покупки по паре возможны только при пробое 1,2905 и закреплении выше 29 фигуры,но то бдит крайне рисскованая сделка против тренда,смотрим внимательно за фундаментом по Европейскому союзу. ![]() Торгую у брокера FXOpen | ||||
Сообщений: 1116 |
Фунт упал и потянул за собой всех - евро, золото, киви и т.д. Покупать сейчас ни фундаментально, ни технически не на чем, уровень 1.2910 не дался и не собирается сдаваться. Вчерашняя моя цель 1.2930 не достигнута, buy закрылся в безубыток вчера же на 1.2890, откуда сегодня с утра продаю пару, движение то же с притормаживаниями на 1.2850-1.2830 и 1.2810 навылет вниз. Пока писал, первый закрылся 1.2860, 1.2875 открываю снова.
Н4: ![]() Сегодня уже вдоль и поперек продано: ![]() | ||||
Сообщений: 0 |
На дневном графике хорошо видно что пара консолидируется уже несколько дней около наклонного долгосрочного уровня поддержки, учитывая сильное снижения за последние несколько недель думаю стоить рассчитывать на начало северной коррекции в район 3000 фигуры как минимум (200 скользящая). ![]() | ||||
Сообщений: 2095 |
На 4 часовом графике отлично видно что в паре произошел южный отбой от синей скользящей аллигатора (очень сильное сопротивления), + произошло образования зоны верхнего фрактала, стохастик образовал сигнал на продажу, при прорыве зоны нижнего фрактала 2840 собираюсь открывать короткую позицию. ![]() | ||||
Сообщений: 500 |
Сегодня валютная пара евро доллар удалось пробить уровень недельного сопротивления в цене 1.2887 и пора пошла выше и сейчас пара тестирует уровень сопротивления в цене если пара сможет пробить этот уровень то пара продолжит рост к уровню сопротивления в цене 1.2948 но если пробить не сможет пара уйдет на снижение .
![]() | ||||
Сообщений: 279 |
Всем привет! Мой прогноз прогноз на 21 мая по валютной паре EUR/USD Gара евро доллар похоже начала развитие восстановления цены от минимуиов. Пока паре на этой недели удалось развить только минимум по коррекции до уровня 1.2900(23.6%уровень фибоначи). Но основным сценарием остаётся развитие очередной структуры снижения на перекрытие 1.2769(0.0%уровень фибоначи) Предполагаю на завтра завершение коррекции до уровня 1.2965(38.3%уровень фибоначи) Далее рассматриваю снижение пары к 1.2769 ![]() | ||||
Сообщений: 2582 |
На текущий момент не смотря на негативный фундамент по Германии евро продолжило рост в рамках нисходящего тренда по сути пробив указанный ранее уровень сопротивления,думаю завтра можно будет входить в покупки по паре,продажи не смотря на нисходящий тренд пока не рассматриваю,под негативным фундаментом я имел ввиду данные по Германии которые вышли хуже прогноза. ![]() Торгую у брокера FXOpen | ||||
Сообщений: 999 |
Валютная пара евро/доллар покинула нисходящий канал и торгуется в узком восходящем канале. На данный момент цена движется от линии сопротивления канала, что соответствует уровню 38,2% по Фибоначчи, к линии поддержки на уровне 1,2871, что соответствует уровню 23,6% по Фибоначчи. Прикрепленные файлы:
| ||||
Сообщений: 838 |
Пробитие 1,29 фигуры, соответствует восходящему тренду, индикатор Макд продолжает указывать на рост, и RSI так же направлен вверх, стохастик близок к зоне перекупленности. Поэтому я ожидаю что пара вновь поднимется до 1,2935, после чего пара развернется на снижение вплоть до 1,2885, а при удачном пробитии пара продолжит снижение плоть до 1,2820
![]() | ||||
Сообщений: 1116 |
А есть модератор в этой ветке? Есть вопрос.
197328 2013-05-20 19:17:18 Выплата пользователю: 0.3$. За ответ в теме:EUR/USD. Аналитика. +0.3 Оплата есть, ни редактировалось, не удалялось, а самого сообщения нет ... | ||||
Сообщений: 1160 |
![]() | ||||
Сообщений: 2641 |
Евра на четыерхчасовке пойдет не далеко, потому-как на дневках уже виден отрицательный настрой. Коррекция завершится у круглого числа, если конечно хватит сил, а потом дорога только вниз.
![]() Мои посты заставляют задуматься. | ||||
Сообщений: 6540 |
Сегодня основным собыием, могущем существенно повлиять на курс евро/бакс будет выступление Бернанке, а до него ожидаю флет в интервале 1.2880 - 1.2940. Продавать буду от верхней границы с целью у нижней, а покупать соответственно у нижней с целями у верхней. Перед выступлением закрою позиции, а возобновлю торговлю уже после выступления.
![]() | ||||
Сообщений: 587 |
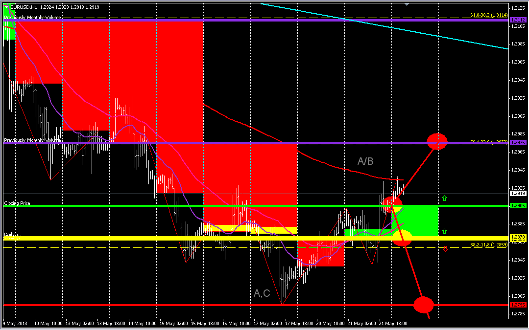
Доброго времени суток, уважаемые трейдеры!
Пара продолжает коррекционное движение и формирование бычьей неопределенной волны А/В (Н1). Рост цены ограничивает сильное сопротивление на уровне 1,2975 (предыдущий месячный объем фьючерса). Ключевой уровень и баланс флета там же, на отметке 1,2867 (месячный и недельный объем фьючерса). В случае пробоя данного уровня, снижение может продолжиться, с целью на 1,2745 (апрельский минимум). В целом, флет и ситуация неоднозначная. Прикрепленные файлы:
| ||||
Сообщений: 0 |
![]() | ||||
Сообщений: 1160 |
![]() | ||||
Сообщений: 2582 |
После пробоя указанного ранее сопротивления рост по паре вполне ожидаемо продолжается на сегодня,тренд между тем остается нисходящий,фундамент нужен в целом для продолжения укрепления куса евро,рекомендую щас с входами на бай не спешить и дождаться коррекционного снижения пары в рамках одной фигуры и с коротким стопом на минимуме этого месяца покупать пару. ![]() Торгую у брокера FXOpen | ||||
Сообщений: 999 |
Валютная пара торгуется в рамках восходящего канала на часовом графике. Однако также на часовом графике образовалась дивергенция, поэтому ожидаю снижение котировок к уровню 1,2895, что соответствует уровню 38,2% по Фибоначчи а также уровню поддержки канала. От данного уровня ожидаю рост котировок до уровня 23,6% по Фибоначчи, что соответствует цене 1,2918. Прикрепленные файлы:
|
| В начало страницы |






















