Основные. EUR/USD. Аналитика. Страница - 171
Сообщений: 128 |
В настоящий момент по паре ожидаю спуска в район 1,5240 для теста трендовой на часовом графике. Так как это касание будет третьим очень высока вероятность отскока и продолжения баевой тенденции и это движение можно будет считать 61% коррекцией к последнему подъему. После этого наиболее вероятная цель для меня район 1,5410-1,5420 и следующая 1,5475. Прикрепленные файлы:
| ||||
Сообщений: 2641 |
![]() Открытие Евросессии дало сильный толчок на продолжение начатого вчера движения по восходящему каналу, середина которого легко пробита только что. Так что, жду пару на отметке 1,3155 Мои посты заставляют задуматься. | ||||
Сообщений: 587 |
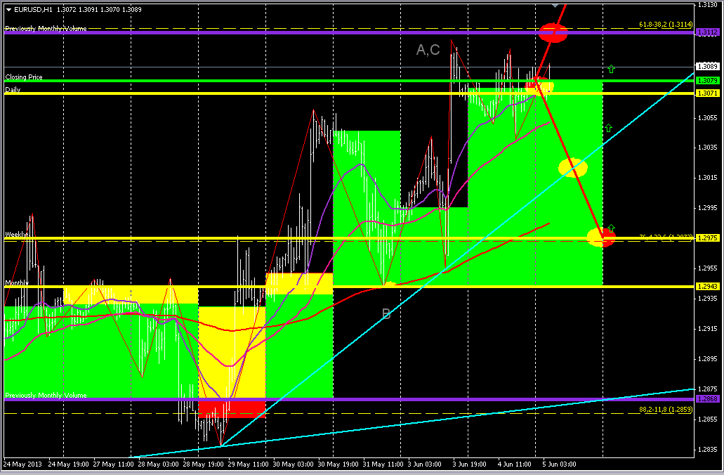
Доброго времени суток, уважаемые трейдеры!
Пара торгуется с повышением. Формируя бычью импульсную волну А,С (Н1), в волне А,С/В (Н4) вверх. Снижение приостановлено на границе целевого уровня сопротивления 1,3112 (предыдущий месячный объем). Уровни поддержки: 1,3017 (вчерашний дневной объем) и 1,2946 (недельный объем фьючерса). Ключевой уровень 1,2943, где сосредоточен месячный объем фьючерса, оказывает поддержку паре и ограничивает ее снижение. Прикрепленные файлы:
| ||||
Сообщений: 2580 |
Евро доллар на сегодня продолжает торговаться в рамках все еще нисходящего тренда,фундамент вчера в принципе малозначимый вышел по ЕС,хотя и позитивный,пока все же решил что оптимальный вариант для входа в рынок это продажа при пробое указанного ранее уровня поддержки,вход в сел от 1,3040,профит планирую взять ниже 30 фигуры.стоп при срабатывании отложки на максимум сегодняшнего дня. ![]() Торгую у брокера FXOpen | ||||
Сообщений: 2444 |
Если посмотреть на Н1,то у нас возможно снижение.
Существует вероятность формирования цикла вниз. Ключевой уровень сопротивления:1.3125. Murrex AO-положительно направлен.Призывает к осторожности. Целевые уровни формирования цикла вниз:1.3035 и 1.3. ![]() Никогда и ничего не просите! Сами предложат и сами всё дадут | ||||
Сообщений: 7041 |
по паре евро /дол предполагаю дальнейшее движение на бай. Цель уровень сопротивления канала на Н4 1,3156
![]() | ||||
Сообщений: 0 |
Верхняя граница канала по Н4 врядли будет пробита, пара перекуплена. Единственная на сегодня возможность для этого - негативные макроэкономические данные по штатам. При возврате ниже 1.3060 буду смотреть на новые продажи пары, но и отложку на пробой 1.3118 также выставлю, американцы вполне могут выдать очередную порцию негатива.
![]() | ||||
Сообщений: 838 |
Пара сегодня весь день пытается подняться выше 1,31 фигуры, но каждый раз она уверенно отскакивает ниже. Причиной может быть близость 61.8% линии Фибоначчи, от которой пара вероятней всего развернется на снижение. Индикатор макд близок к подачи сигнала на продажу, стохастик уже вышел из зоны перекупленности. Так же паре не удалось закрепиться выше верхней линии болинджеро, и откатилась ниже, что так же свидетельствует о скором снижении. Поэтому, думаю что стоит начинать продавать при любом росте выше 1,3080.
![]() | ||||
Сообщений: 5699 |
![]() Пара снижалась от уровня 1.3101 на отработку уровня 1.3015, но так и не отработала. На завтра ожидаю снижения пары на отработку уровня 1.3015. Покупки только на пробой уровня 1.3101. | ||||
Сообщений: 0 |
![]() После такого флета мы по любому должны двинуться с этого места до отметки 1.3063 хочется тепла на юг. всем профита:) | ||||
Сообщений: 2444 |
По паре все остается в силе.
По прежнему существует вероятность формирования цикла вниз. Ключевой уровень сопротивления:1.3125. Murrex AO-положительно направлен.Призывает к осторожности. Целевые уровни формирования цикла вниз остаются прежними:1.3035 и 1.3. ![]() Никогда и ничего не просите! Сами предложат и сами всё дадут | ||||
Сообщений: 0 |
Здравствуйте!
Прогноз EUR/USD на 5 июня 2013г.: ![]() Пара должна продолжить движение вверх в район 1.3107 или 1.3166 если удержится поддкржка 1.3074,затем развернётся для снижения к 1.3074 и 1.3015 | ||||
Сообщений: 0 |
![]() | ||||
Сообщений: 6540 |
Сегодня достаточно много новостей которые могут повлиять на курс евро/бакса. Среди всех стоит выделить показатели деловой активности в секторе услуг, а также пересмотренные данные по ВВП за первый квартал и розничных продаж еврозоны. У евробыков до заседания ЕЦБ есть все технические условия для теста 1.3150, 1.3180. Если сервисные PMI окажутся не ниже прогнозных значений, то должны пойти по основному сценарию. До 1.3150 препятствий не вижу. В случае выхода плохих данных евро/бакс может развернуться и тогда целями будут уровни 1.3050, 1.3000.
![]() | ||||
Сообщений: 0 |
Вчера получен очередной дневной инсайд, который свидетельствует о консолидации. Его пробой на север, за отметку 1,3101 будет означать возможность дальнейшего развития бычьего наступления, прорыв нижней границы диапазона этого ИБ - разворот в южном направлении.
![]() | ||||
Сообщений: 4381 |
| ||||
Сообщений: 587 |
Доброго времени суток, уважаемые трейдеры!
Пара продолжает коррекционное движение по отношению к предыдущему росту и формирует бычью импульсную волну А,С (Н1). Рост цены ограничивает сильное сопротивление на уровне 1,3112 (предыдущий месячный объем), при пробое которого рост сможет продолжиться. В этом случае целевой уровень – 1,3193 (майский максимум). Снижение пары ограничивают уровни поддержки: 1,3071 (вчерашний дневной объем), граница нисходящей трендовой линии (Н1), а также 1,2975 (недельный объем фьючерса). Прикрепленные файлы:
| ||||
Сообщений: 2641 |
После вот таких больших "шпилек" я ожидаю, что цена будет подобна хлысту. То есть "шпилька" это своего рода замах, а затем будет громкий щелчок в противоположную сторону от замаха. То есть Евра и Фунт сейчас упадут. Это случилось утром с ЕвроЙеной, то же самое случится уже через полчаса.
![]() Мои посты заставляют задуматься. | ||||
Сообщений: 4381 |
Валютная пара eur/usd:
Пара "дышит" на уровень сопротивления отм.1.30970,но это не чистое дыхание "Стиморол", а дыхание марафонца в конце финиша. Никак не удается паре пробиться выше уровня и все её потуги остаются ни с чем . Торговый план на завтра остается неизменным после соответствующей корректировки лимитника и стоп-лосса.(подтянул их ближе к тяжелому мувингу) ![]() | ||||
Сообщений: 279 |
Здравствуйте уважаемые трейдеры! Аналитический прогноз по валютной паре EUR/USD на завтра 6 июня! Евро доллар на таймфрейме Н4 торгуется в восходящем тренде,рассматриваю на завтра рост пары к уровню 1.3113(38.2 уровень фибоначи) И далее буду рассматривать отскок пары от этого уровня на снижение к уровням 1.3079 1.3070(61.8%уровень фибоначи) и ниже к цене 1.3054 ![]() |
| В начало страницы |






















