
Основные. EUR/USD. Аналитика. Страница - 174
Сообщений: 0 |
Всем привет. Валютная пара EURUSD на часовом графике оттолкнулась от сильного уровня сопротивления 1.3359 и на данный момент понемногу движется в южном направлении. На индикаторе МАКД виден сильный сигнал для продолжения движения на юг – дивергенция(обозначил красными линиями). Ожидаю дальнейшее снижение пары к уровню 1.3289(38.2 по Фибоначи). Побольше профитных сделок!
![]() | ||||
Сообщений: 1497 |
Пара торгуется в восходящем канале. Отбилась от сопротивления 1,3360 с целью нижняя граница канала.
План на день торговать на отскоках с короткими профитами в ожидании пробоя тренда. Пара находится в сильной зоне перекупленности и скоро должна пойти на коррекционное снижение на 50% фибо от роста(+-1,31). Так же стоит обратить внимание на календарь новостей. Там сегодня выходит много серьезной статистики по США, что возможно даст начало коррекции. ![]() | ||||
Сообщений: 310 |
Всем привет и профита , вчера дивер по H4 медведи не хотели отроботать , сейчас по H1 графике опять медвежий дивер появилось , буду от DR1 1.3374 войти на селл , до уровню Ds1 1.3280 , DS2 1.3225 . Посмотрим сегодня что скажет рынок и это дивер тоже будет ложный ...
![]() | ||||
Сообщений: 587 |
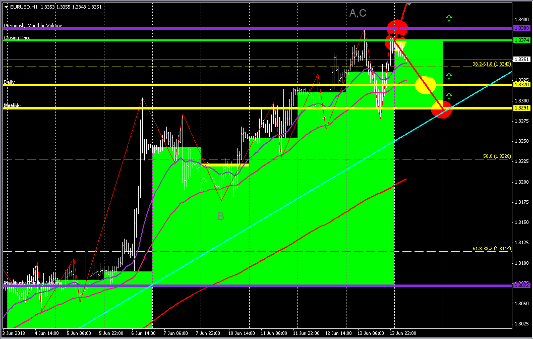
Доброго времени суток, уважаемые трейдеры!
Пара продолжает рост и формирование бычьей импульсной волны А,С (Н1). Достигнут целевой уровень сопротивления 1,3350 (предыдущий месячный объем) и цена приближается к следующему целевому сопротивлению на уровне 1,3389 (предыдущий месячный объем). При пробое данного уровня пара может вырасти до области 1,3568. Уровни поддержки – 1,3291 (вчерашний дневной объем) и 1,3280 (недельный объем фьючерса). Тенденция восходящая. Прикрепленные файлы:
| ||||
Сообщений: 0 |
По евро доллару клин восходящий, такие насколько мне известно пробиваются вниз. Цена отскочила от верхней его границы и снижается к нижней-район 13300. Пробитие клина вниз будет означать снижение к 13244-100.0 по фибо и вероятно, что дальше. Альтернатива - пробитие клина вверх и повышение к хаю на дневном 13712. Продажи буду рассматривать только после пробития клина. ![]() | ||||
Сообщений: 0 |
Сейчас пара приближается на своей коррекционной южной волне к двум очень важным уровням поддержки- горизонтальному 3318 и наклонной долгосрочной линии тренда, в первую очередь от данной зоны поддержки я ожидаю отскок на север и возобновления северного тренда, целями могут опять стать 3388. ![]() | ||||
Сообщений: 2095 |
Решила открыть длинную позицию, пара вплотную подошла к синей скользящей аллигатора, около нее сформировалась полная остановка, также произошло формирования нижнего фрактала, стохастик образовал сигнал на покупку, профит ставлю на максимум недели 3380, стоп ниже 3313. ![]() | ||||
Сообщений: 7016 |
Пара Eur/Usd отбилась от уровня сопротивления канала на Н4 и начала окатываться на сел. ближайшая цель уровень поддержки канала на Н4 1,3222. Глобальная цель- зона 3(см. скрин) 1,3177
![]() | ||||
Сообщений: 0 |
![]() | ||||
Сообщений: 0 |
Здравствуйте уважаемые коллеги. Валютная пара EURUSD продолжает двигаться в восходящем канале. После небольшого снижения в течении дня пара отскочила от нижней границы канала и уровня 1.3306 и направилась в северном направлении. Ожидаю дальнейший рост валютной пары к верхней границе восходящего канала. МАКД находится в положительной зоне и подтверждает сигнал движения на север. Успехов в торговле. ![]() | ||||
Сообщений: 4381 |
Евра явно выдохлась на своем росте и явно видно,что сила тренда иссякла.
Лихо евра прорубила уровень сопротивления отм.1.31941 и ворвалась в старый торговый диапазон,где и добралась до линии сопротивления восходящего канала. Линия будет очень сильно сдерживать быков от дальнейшего роста и очень похоже,что цена все же отобьется от неё и пойдет вниз. Целью в этом случаи будет служить линия поддержки канала. ![]() | ||||
Сообщений: 0 |
ПАра евро-доллар попрежнему торгуется внутри восходящего клина. В очередной раз произошел отскок от верхней его границы и цена направилась к нижней. Не исключен еще один отскок вверх от 13328. По всей видимости понижения евро-доллара пока не отработается двойное дно на недельном и цена не достигнет 161.8 по фибо 13515 не стоит если только не пробьется клин вниз. ![]() | ||||
Сообщений: 6540 |
Новостей, способных вытолкнуть евро/бакс из уже сложившегося канала сегодня не ожидается. График евро/бакса по-прежнему расположен значительно выше скользящих средних с периодами 34, 55, 89 и 144, которые направлены вверх и указывают на сохраняющиеся бычьи настроения, гистограмма MACD по-прежнему расположена в положительной зоне, но немного ниже своей сигнальной линии, начала очень плавно снижаться и тем самым подает сигнал на продажу. Осциллятор стохастик вплотную приблизился к зоне перекупленности и формирует противоположный сигнал. Противоречие в сигналах, наталкивает на мысль, что наиболее правильное решение сейчас - остаться вне рынка. Однако на сегодня возможны два варианта развития событий: 1. Пробой уровня 1.3980/90 и рост к 1.3400/20 и далее 1.3460/70. 2. Пробой уровня поддержки 1.3285 и снижение к уровням 1.3225 и 1.3190/70, на фиксации прибыли в конце торгового дня.
![]() Редактировалось: 2 раз (Последний: 14 июня 2013 в 10:09) | ||||
Сообщений: 587 |
Доброго времени суток, уважаемые трейдеры!
Рост пары приостановлен на границе сильного уровня сопротивления 1,3389 (предыдущий месячный объем). При пробое данного уровня рост сможет продолжиться. В этом случае целевое сопротивление будет находиться в области 1,3568 (предыдущий месячный объем). Продолжает формироваться бычья импульсная волна А,С (Н1-Н4). Ключевая поддержка на уровне 1,3291 (месячный и недельный объем ) подталкивает пару к дальнейшему росту и ограничивает ее снижение. Прикрепленные файлы:
| ||||
Сообщений: 1497 |
Пара пробила восходящий канал и отскочила от уровня 1,3320, что является уровнем разворота, с тестом пробоя с целью уровня 61,8 фибо снижения от 3 февраля, после достижения которого отскок с целью 1,32 - 1,31. Основная цель для снижения это 1,3030, что является 50% фибо от роста пары.
Альтернатива возврат в восходящий канал к сопротивлению 1,3377. ![]() | ||||
Сообщений: 0 |
По паре продолжается рост и кажется что уже не остановить пару , но сейчас видно как назревает коррекция которую все давно уже ждут , пара торгуется очень высоко над облаком ишимоку и осмелюсь предположить что пара начнет снижаться к верхней его границе к уровню 1.3120 где произойдет разворот на рост .
![]() | ||||
Сообщений: 0 |
Похоже пара не хочет больше расти, от падения пару не сдержал долгосрочный уровень тренда который только что курс сумел прорвать тем самым открыл себе путь к 3280 (и при условии прорыва 3280- 3230), начал также свою отработку и сигнал на продажу MACD (который в свою очередь образовал двойную дивергенцию). ![]() | ||||
Сообщений: 2095 |
Сейчас пара торгуется внутри бокового канала 3376-3286, происходит формирования южной коррекционной волны и пара медленно но уверенно приближается к 3286- от данного уровня и жду возобновления северного роста (по основному тренду) и при подходе к нему возобновлю покупки. ![]() | ||||
Сообщений: 999 |
Валютная пара евро/доллар пробила линию поддержки восходящего канала на часовом графике. Ожидаю дальнейшее снижение котировок с текущих уровней как минимум до уровня 38,2% по Фибоначчи, что соответствует цене 1,3263. Прикрепленные файлы:
| ||||
Сообщений: 7016 |
На Н1 пара оттолкнулась от линии сопротивления наклонного канала (1,3375), Предполагаю селовое движение к линии поддержки 1,3277.при прохождении которой можно ожидать уровень 1,3246- 2я поддержка
![]() |
| В начало страницы |





















