Опционные уровни. Расчёт и методы торговли.
Сообщений: 88 |
Опционные уровни на сегодня на валютной паре с евро, построенные основываясь на нейтральную позицию дельты. Нейтральную позицию дельты (близкую к 0.5) назовём балансом, или ценой, устраивающей большинство участников рынка, на сегодня он находится на уровне 1.0980. Зелёные уровни-это отклонения от баланса, основываясь на недельные отчёты, которые находятся в диапазоне 1.0944-1.1015. Синие уровни-это отклонения от баланса, основываясь на месячные отчёты, которые находятся в диапазоне 1.0893-1.1067. Стоимость опционов колл растёт, а стоимость путов падает, поэтому приоритет движения-вверх. Предполагаемое движение-с текущих вниз до зелёного и потом вверх, или работать на пробой сегодняшнего хая.. Прикрепленные файлы:
| ||||
Сообщений: 88 |
Опционный баланс по фунту на сегодня находится на уровне 1.2642. Зелёные уровни-это отклонения от баланса на сегодня, основываясь на недельные отчёты, которые находятся в диапазоне 1.2590-1.2677. Синие уровни-это отклонения от баланса на сегодня, основываясь на месячные отчёты, которые находятся в диапазоне 1.2512-1.2755. Можно покупать с текущих с целями до верхних уровней или до конца дня. Приоритет движения-вверх. Прикрепленные файлы:
| ||||
Сообщений: 88 |
Опционные уровни сегодня на валютной паре с австралийским долларом, построенные основываясь на нейтральную позицию дельты. Нейтральную позицию дельты (близкую к 0.5) назовём балансом, или ценой, устраивающей большинство участников рынка, на сегодня он находится на уровне 0.6423. Зелёные уровни-это отклонения от баланса, основываясь на недельные отчёты, которые находятся в диапазоне 0.6391-0.6467. Синие уровни-это отклонения от баланса, основываясь на месячные отчёты, которые находятся в диапазоне 0.6343-6515. Стоимость опционов колл растёт, а стоимость путов падает, поэтому приоритет движения-вверх. Покупать можно с текущих со стопом под синий уровень с целью до верхних зелёного и синего уровней. Прикрепленные файлы:
| ||||
Сообщений: 88 |
На паре с канадцем баланс сегодня находится на уровне 1.3902. Зелёные уровни-это отклонения от баланса, основываясь на недельные отчёты, которые находятся в диапазоне 1.3845-1.3969. Синие уровни-это отклонения от баланса, основываясь на месячные отчёты, которые находятся в диапазоне 1.3788-1.4027. Стоимость опционов колл (внизу) падает, а стоимость путов растёт, поэтому приоритет движения-вверх. Предполагаемое движение-с текущих вверх до зелёного и синего. Приоритет движения-вверх. Немного опоздал с прогнозом. Прикрепленные файлы:
| ||||
Сообщений: 88 |
Опционные уровни сегодня на валютной паре с франком, построенные основываясь на нейтральную позицию дельты. Нейтральную позицию дельты (близкую к 0.5) назовём балансом, или ценой, устраивающей большинство участников рынка, на сегодня он находится на уровне 0.9589. Зелёные уровни-это отклонения от баланса, основываясь на недельные отчёты, которые находятся в диапазоне 0.9566-0.9626. Синие уровни-это отклонения от баланса, основываясь на месячные отчёты, которые находятся в диапазоне 0.9523-0.9670. Стоимость опционов пут (вверху) падает, а премия по коллам растёт, поэтому приоритет движения-вниз. Можно продавать от синего, или работать на пробой баланса вниз. Прикрепленные файлы:
| ||||
Сообщений: 88 |
На валютной паре с японской еной сегодня баланс находится на уровне 107.15. Зелёные уровни-это отклонения от баланса, основываясь на недельные отчёты, которые находятся в диапазоне 106.75-107.15. Синие уровни-это отклонения от баланса, основываясь на месячные отчёты, которые находятся в диапазоне 106.18-108.18. Стоимость опционов колл (внизу) растёт, а стоимость путов падает, поэтому приоритет движения-вниз. Предполагаемое движение-от зелёного вниз, если баланс пробьют, то вниз до зелёного и синего уровней. Прикрепленные файлы:
| ||||
Сообщений: 88 |
Опционные уровни на сегодня на валютной паре с евро, построенные основываясь на нейтральную позицию дельты. Нейтральную позицию дельты (близкую к 0.5) назовём балансом, или ценой, устраивающей большинство участников рынка, на сегодня он находится на уровне 1.0933. Зелёные уровни-это отклонения от баланса, основываясь на недельные отчёты, которые находятся в диапазоне 1.0897-1.0958. Синие уровни-это отклонения от баланса, основываясь на месячные отчёты, которые находятся в диапазоне 1.0838-1.1017. Стоимость опционов колл падает, а стоимость путов растёт, поэтому приоритет движения-вниз. Предполагаемое движение- к балансу, а от баланса вниз. Хочу напомнить, что опционные уровни ходят за ценой, а не перед ней, и отображают настроения участников рынка. Когда рынки иррациональны, как сейчас, то возможны трудно прогнозируемые движения. Прикрепленные файлы:
| ||||
Сообщений: 88 |
Опционный баланс по фунту на сегодня находится на уровне 1.2543. Зелёные уровни-это отклонения от баланса на сегодня, основываясь на недельные отчёты, которые находятся в диапазоне 1.2504-1.2588. Синие уровни-это отклонения от баланса на сегодня, основываясь на месячные отчёты, которые находятся в диапазоне 1.2418-1.2674. Премия коллов падает, а премия путов растёт, поэтому предпочтительнее движение-вниз. Можно будет продать от баланса с целью 1.2418. Прикрепленные файлы:
| ||||
Сообщений: 88 |
Опционные уровни сегодня на валютной паре с австралийским долларом, построенные основываясь на нейтральную позицию дельты. Нейтральную позицию дельты (близкую к 0.5) назовём балансом, или ценой, устраивающей большинство участников рынка, на сегодня он находится на уровне 0.6323. Зелёные уровни-это отклонения от баланса, основываясь на недельные отчёты, которые находятся в диапазоне 0.6292-0.6359. Синие уровни-это отклонения от баланса, основываясь на месячные отчёты, которые находятся в диапазоне 0.6235-6416. Стоимость опционов пут растёт, а стоимость коллов падает, поэтому приоритет движения-вниз. Пока цену не пускают в недельный диапазон. Можно рискнуть продать с текущих с коротким стопом, либо подождать цену на балансе, откуда можно продать. Прикрепленные файлы:
| ||||
Сообщений: 88 |
На паре с канадцем баланс сегодня находится на уровне 1.4096. Зелёные уровни-это отклонения от баланса, основываясь на недельные отчёты, которые находятся в диапазоне 1.4038-1.4143. Синие уровни-это отклонения от баланса, основываясь на месячные отчёты, которые находятся в диапазоне 1.3956-1.4228. Стоимость опционов колл (внизу) падает, а стоимость путов растёт, поэтому приоритет движения-вверх. Предполагаемое движение-с текущих вверх до зелёного и синего. Приоритет движения-вверх. Немного опоздал с прогнозом. Прикрепленные файлы:
| ||||
Сообщений: 88 |
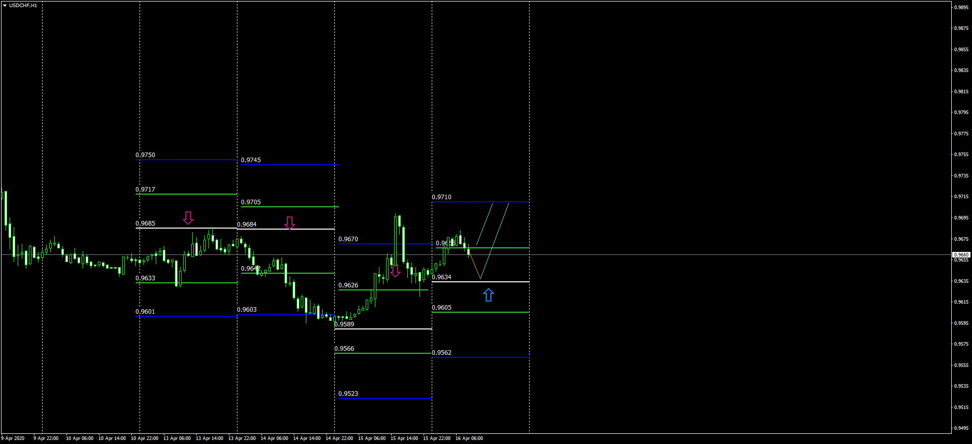
Опционные уровни сегодня на валютной паре с франком, построенные основываясь на нейтральную позицию дельты. Нейтральную позицию дельты (близкую к 0.5) назовём балансом, или ценой, устраивающей большинство участников рынка, на сегодня он находится на уровне 0.9634. Зелёные уровни-это отклонения от баланса, основываясь на недельные отчёты, которые находятся в диапазоне 0.9605-0.9666. Синие уровни-это отклонения от баланса, основываясь на месячные отчёты, которые находятся в диапазоне 0.9562-0.9710. Стоимость опционов пут (вверху) растёт, а премия по коллам падает, поэтому приоритет движения-вверх. Предполагаемое движение-опуститься к балансу, а потом вверх до синего, могут пойти вверх и с текущих. Прикрепленные файлы:
| ||||
Сообщений: 88 |
На валютной паре с японской еной сегодня баланс находится на уровне 107.41. Зелёные уровни-это отклонения от баланса, основываясь на недельные отчёты, которые находятся в диапазоне 107.16-107.72. Синие уровни-это отклонения от баланса, основываясь на месячные отчёты, которые находятся в диапазоне 106.53-108.35. Стоимость опционов колл (внизу) падает, а стоимость путов растёт, поэтому приоритет движения-вверх. Предполагаемое движение-вверх с текущих, или дождаться отката и покупать от баланса с целью к синему уровню. Прикрепленные файлы:
| ||||
Сообщений: 88 |
Опционные уровни на сегодня на валютной паре с евро, построенные основываясь на нейтральную позицию дельты. Нейтральную позицию дельты (близкую к 0.5) назовём балансом, или ценой, устраивающей большинство участников рынка, на сегодня он находится на уровне 1.0834. Зелёные уровни-это отклонения от баланса, основываясь на недельные отчёты, которые находятся в диапазоне 1.0818-1.0872. Синие уровни-это отклонения от баланса, основываясь на месячные отчёты, которые находятся в диапазоне 1.0747-1.0933. Стоимость опционов колл падает, а стоимость путов растёт, поэтому приоритет движения-вниз. Не очень ясная ситуация, но можно пытаться продать от верхнего синего, или на пробой вчерашнего лоу. Прикрепленные файлы:
| ||||
Сообщений: 88 |
Опционный баланс по фунту на сегодня находится на уровне 1.2442. Зелёные уровни-это отклонения от баланса на сегодня, основываясь на недельные отчёты, которые находятся в диапазоне 1.2420-1.2480. Синие уровни-это отклонения от баланса на сегодня, основываясь на месячные отчёты, которые находятся в диапазоне 1.2316-1.2584. Чем ближе к экспирации (принудительному закрытию сделок), тем опционные каналы уже, недельный канал узкий, потому что экспирация будет сегодня. Опционы пут дорожают, коллы дешевеют, поэтому цене выгоднее идти вниз. Прикрепленные файлы:
| ||||
Сообщений: 88 |
Опционные уровни сегодня на валютной паре с австралийским долларом, построенные основываясь на нейтральную позицию дельты. Нейтральную позицию дельты (близкую к 0.5) назовём балансом, или ценой, устраивающей большинство участников рынка, на сегодня он находится на уровне 0.6299. Зелёные уровни-это отклонения от баланса, основываясь на недельные отчёты, которые находятся в диапазоне 0.6283-0.6328. Синие уровни-это отклонения от баланса, основываясь на месячные отчёты, которые находятся в диапазоне 0.6212-6398. Стоимость опционов пут растёт, а стоимость коллов падает, поэтому приоритет движения-вниз. Можно рискнуть продать с текущих , либо подождать цену на верхнем синем уровне, откуда можно будет продать. Прикрепленные файлы:
| ||||
Сообщений: 88 |
На паре с канадцем баланс сегодня находится на уровне 1.4093. Зелёные уровни-это отклонения от баланса, основываясь на недельные отчёты, которые находятся в диапазоне 1.4069-1.4140. Синие уровни-это отклонения от баланса, основываясь на месячные отчёты, которые находятся в диапазоне 1.3969-1.4243. Стоимость опционов колл (внизу) падает, а стоимость путов растёт, поэтому приоритет движения-вверх. Предполагаемое движение-с текущих вверх, или вверх от нижнего синего уровня с первой целью на балансе. Прикрепленные файлы:
| ||||
Сообщений: 88 |
Опционные уровни сегодня на валютной паре с франком, построенные основываясь на нейтральную позицию дельты. Нейтральную позицию дельты (близкую к 0.5) назовём балансом, или ценой, устраивающей большинство участников рынка, на сегодня он находится на уровне 0.9680. Зелёные уровни-это отклонения от баланса, основываясь на недельные отчёты, которые находятся в диапазоне 0.9666-0.9703. Синие уровни-это отклонения от баланса, основываясь на месячные отчёты, которые находятся в диапазоне 0.9605-0.9766. Стоимость опционов пут (вверху) растёт, а премия по коллам падает, поэтому приоритет движения-вверх. Предполагаемое движение-опуститься ещё раз к балансу, а потом вверх до синего, могут пойти вверх и с текущих. Прикрепленные файлы:
| ||||
Сообщений: 88 |
На валютной паре с японской еной сегодня баланс находится на уровне 107.67. Зелёные уровни-это отклонения от баланса, основываясь на недельные отчёты, которые находятся в диапазоне 107.45-107.85. Синие уровни-это отклонения от баланса, основываясь на месячные отчёты, которые находятся в диапазоне 106.73-108.59. Стоимость опционов колл (внизу) падает, а стоимость путов растёт, поэтому приоритет движения-вверх. Предполагаемое движение-вверх с текущих с целью к синему уровню. Прикрепленные файлы:
| ||||
Сообщений: 88 |
Опционные уровни на завтра на валютной паре с евро, построенные основываясь на нейтральную позицию дельты. Нейтральную позицию дельты (близкую к 0.5) назовём балансом, или ценой, устраивающей большинство участников рынка, на сегодня он находится на уровне 1.0929. Зелёные уровни-это отклонения от баланса, основываясь на недельные отчёты, которые находятся в диапазоне 1.0817-1.0910. Синие уровни-это отклонения от баланса, основываясь на месячные отчёты, которые находятся в диапазоне 1.0781-1.0910. Стоимость опционов колл незначительно растёт, а стоимость путов падает, поэтому небольшой приоритет движения-вверх. Предполагаемое движение-от баланса вверх к зелёному уровню. Прикрепленные файлы:
| ||||
Сообщений: 88 |
По фунту баланс находится на уровне 1.2494. Зелёные уровни-это отклонения от баланса, основываясь на недельные отчёты, которые находятся в диапазоне 1.2421-1.2560. Синие уровни-это отклонения от баланса, основываясь на месячные отчёты, которые находятся в диапазоне 1.2368-1.2613. Стоимость опционов колл растёт, а стоимость путов падает, поэтому приоритет движения-вверх. Можно покупать от баланса с целью к зелёному и синему. Прикрепленные файлы:
|
| В начало страницы |
Быстрый ответ
Чтобы писать на форуме, зарегистрируйтесь или авторизуйтесь.



































