
Основные. USD/JPY. Аналитика. Страница - 55
Сообщений: 0 |
По баксо йене на текущий момент пока что идет флэт. Вот выход из данного флэта, я так думаю, будет сигналом для входа в рынок в соответствующую сторону, но все же покупки есть смысл рассматривать только после пробоя и закрепления быков выше уровня сопротивления +/- 93,15. А пока что южное направление не отменяется: ![]() | ||||
Сообщений: 587 |
Доброго времени суток, уважаемые трейдеры!
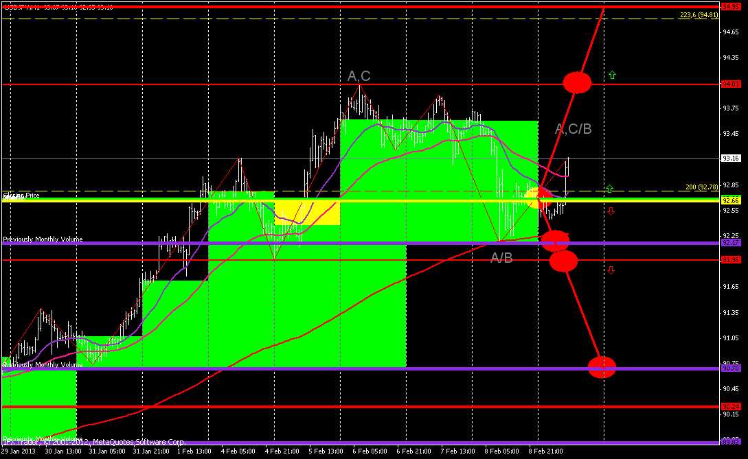
Рост пары пока носит коррекционный характер. Ключевой уровень на 92,66, здесь сосредоточен месячный, недельный и пятничный дневной объем фьючерса. ОТ него и следует выбирать направление для дальнейшего движения. Целевой уровень роста – 95,00. Целевая поддержка, при снижении, на уровне 90,70 (предыдущий месячный объем). Прикрепленные файлы:
| ||||
Сообщений: 1737 |
Данная валютная пара доллар-йена сегодня с утра ростет и очень хорошо ростет,пробив уровень 93 и уйдя выше,поэтому советую покупать с целью 94.5 ,пара движется в ростущем канале что и показано на графике падение буду рассматривать если пара уйдет ниже 92,но сегодня это почти не возможно,поэтому советую покупать с целями 94.5 ![]() | ||||
Сообщений: 0 |
Пара ожидаемо растет и уже вошла в 0.93хх , но думаю что сегодня увидим и 0.9383 , пока к этому идет , на подходе еще один сигнал в рост , так что на амерах думаю движение продолжится , но надо будет вовремя фиксировать покупки и разворачиваться вниз , после ожидаю продолжения снижения пары к 0.90хх , посмотрим . ![]() | ||||
Сообщений: 0 |
Похоже пара опять возобновила свой основной северный тренд, отбившись от 200 скользящей курс образовал импульсную северную волну и сумел прорвать ряд сильных уровней сопротивления , среди них и 93.00 фигура, пока стоить подождать небольшую коррекцию и с нее уже заходить в покупку, целью опять моет стать сопротивления 93.85. ![]() | ||||
Сообщений: 2095 |
Пара уперлась в наклонный уровень сопротивления который имеет среднесрочный характер, на часовом графике ужа заметна консолидация и повышенная активность медведей, стохастик тоже показывает сигнал на продажу, учитывая сильный северный рост надеюсь на формирования коррекционной южной волны (как минимум ) от данного уровня. ![]() | ||||
Сообщений: 0 |
Не дали моей продаже долго жить, прорвали уровень на 92,9 попробовал перевернуться //впервые по этой паре, просто, ждать 94-ю фигуру для продаж и не купить у 93-й как-то не очень интересно...
Надежды, что дадут в покупках досидеть, не много, перевёл в БУ... а возле 94-й шортить буду // да и не верю, пока ещё всё, что в течении месяца пара намного закрепится выше 95-й На моей практике ещё не было такого, чтобы преодолевали такие сопротивления (правда и практики торговли баксойены не много... но по другим-то парам так не бывает) Удачи! ![]() | ||||
Сообщений: 261 |
![]() Сегодня пара USD/JPY скорректировалась от последнего падения и оптимальные покупки от уровня 92,60 достигли цели 161,80 от расширения фибо до уровня 93,50...вторая цель 93,50 , но при этом необходимо пробить трендовую линию нисходящего движения ,т.е.сейчас возможно коррекция до 93,20 и опять возможны покупки Кто хочет успеха - ищет возможности, а кто не хочет - ищет причины.... | ||||
Сообщений: 241 |
Не дали моей продаже долго жить, прорвали уровень на 92,9 попробовал перевернуться //впервые по этой паре, просто, ждать 94-ю фигуру для продаж и не купить у 93-й как-то не очень интересно...
Надежды, что дадут в покупках досидеть, не много, перевёл в БУ... а возле 94-й шортить буду // да и не верю, пока ещё всё, что в течении месяца пара намного закрепится выше 95-й На моей практике ещё не было такого, чтобы преодолевали такие сопротивления (правда и практики торговли баксойены не много... но по другим-то парам так не бывает) Удачи! ![]() | ||||
Сообщений: 0 |
Сегодня пара нашла поддержку около середины канала (здесь проходила 200 скользящая), от него и произошло завершения коррекционной стадии и возобновления северного тренда, на часовом графике заметно сформировавшейся четкий уровень сопротивления 93.45 около которого пара консолидируется уже несколько часов но продавать от него опасно так как пара находится в сильном тренде, он думаю и приведет к пробою 93.45 с выходом к 94.00. ![]() | ||||
Сообщений: 112 |
![]() по иене цена направилась к сопротивлению со стороны линии тренда. Выставю селл стоп на линии иникатора WATR с вариантом пробития данной линии и продолжения движения к целям, которые я пока не наметил, но быть готовым продажам нужно быть сейчас всегда. | ||||
Сообщений: 838 |
![]() В прогнозе на понедельник по паре USD/JPY исходя из технического анализа, в связи с праздником большинство азиатских бирж было закрыто, и поэтому иена открылась ростом первый день торговой недели. И сейчас находиться на уровне 93,44. Я ожидаю еще незначительный рост до 93,55, после чего пара вновь снизится до линии поддержки к уровню 93,00 | ||||
Сообщений: 587 |
Говорят-то все, а вот покупать никто не хочет...Вот и растем! Вот и будем расти, пока все не поверят в этот безграничный атракцион щедрости. Многие, наверное, ждут хорошего отката, чтобы закупиться, а мнение большинства, как всегда ошибочно. Закупяться, вот и полетим вниз. Может быть и такой вариант. Прикрепленные файлы:
| ||||
Сообщений: 0 |
![]() | ||||
Сообщений: 1737 |
Предыдущий прогноз по данной валютной паре доллар-йена оправдался теперь я ожидаю откат пары к нижней черте канала и затем оттуда новый рост пары с целью 97,вобще как я смотрю пара движется к отметке в 100,но это потом а сейчас предполагаю откат пары и затем на уровне 93.40 новый рост пары к 97,падение можно будит рассмотреть если пара упадет ниже 93.3 но это маловероятно. ![]() | ||||
Сообщений: 0 |
Пара под давлением. Канал восходящий. Цена выше линии регрессии.
Пара по-прежнему расположена выше скользящих ЕМА с периодами 50, 100 и 200, которые направлены вверх и указывают на сохраняющиеся бычьи настроения, а так же являются рядом уровней поддержки 93,46, 93,24 и 92,71. MACD расположена в положительной зоне, но ниже своей сигнальной линии, продолжает плавно снижаться и тем самым подает сигнал на продажу. Стохастик вошел в зону перепроданности и подает аналогичный сигнал. RSI формирует сигнал на покупку. Пробой 94.45 и рост к уровням 95.05/10 и 95.80. Пробой уровня поддержки 93.65 и падение к уровням 92.80 и 92.25. ![]() | ||||
Сообщений: 0 |
Решил открыть покупку по usd/jpy, пара после того как прорвала горизонтальный уровень сопротивления 93.89 на своей коррекционной волне курс еще раз протестировал данный уровень на прочность но уже в качестве поддержки, от него и произошло возобновления тренда,еще одну покупку собираюсь открывать при прорыве максимума 94.40- тогда окончательно откроется 95.00 фигура. ![]() | ||||
Сообщений: 0 |
По паре фигура флаг продолжения тренда после пробития уровня 93,40 пара продолжит расти до уровня 95,20 Прикрепленные файлы:
| ||||
Сообщений: 241 |
По баксо йене на текущий момент быки прошли и закрепились выше достаточно сильного уровня сопротивления +/- 93,85, который теперь уровень поддержки. На мой взгляд, теперь до тех пор пока цена находится выше данного уровня поддержки, есть смысл торговать только на повышение. Но а если мишки нырнут под данный уровень, тогда север отменяется на время: ![]() | ||||
Сообщений: 2095 |
Решила полностью перевернутся на покупку по jpy, пара на дневном графике образовала сильное бычье поглощения, также курс завершил свою коррекционною стадию и сейчас опять направляется к краткосрочному уровню сопротивления 94.40 (зона верхних фракталов) пара опять торгуется над скользящими аллигатора и вчера не отработала сигнал на продажу, быки по прежнему сильнее и думаю они не оставляться , целью запросто может стать 95.00 фигура. ![]() |
| В начало страницы |





















