Сообщений: 2444 | | #841 - 3 марта 2013 в 02:06 | |
Ушли по стопу.
В понедельник ожидаю продолжение снижения.
Пока уровень 0.8295 и граница наклонного канала выступают сопротивлением,возможно продолжение формирования цикла вниз.
Murrex AO-отрицательно направлен.
Целевые уровни формирования цикла вниз:0.8210 и 0.8180.
Никогда и ничего не просите! Сами предложат и сами всё дадут |
Сообщений: 838 | | #842 - 3 марта 2013 в 23:27 | |
В прогнозе на понедельник по паре NZD/USD исходя из технического анализа, на прошлой неделе пара протестировала новый минимум. С открытием торгов в новой неделе, я ожидаю продолжения снижения пары до целевого уровня 0,8210. О продолжении снижения пары свидетельствуют и индикаторы. Если рассмотреть свечной анализ, то в последний день недели, пара прорисовала «дожи», что может свидетельствовать о нестабильности на рынки, и курс может пойти в любую сторону. Для более точного прогноза следует подождать прорисовки завтрашней свечи.
|
Сообщений: 2444 | | #843 - 4 марта 2013 в 02:59 | |
От текущих уровней возможно формирование волны к границе наклонного канала,далее ожидаю формирование цикла вниз.
Ключевой уровень сопротивления:0.8290.
Murrex AO-отрицательно направлен.
Целевые уровни формирования цикла вниз:0.8210 и 0.8180.
Никогда и ничего не просите! Сами предложат и сами всё дадут |
Сообщений: 0 | | #844 - 4 марта 2013 в 15:01 | |
Доброго времени суток. На часовом графике данной валютной пары сформировался сильный сигнал дивергенция(на рисунке отмечена синими линиями) . Поэтому рекомендую открыть длинную позицию и держать её пока индикатор MACD не достигнет зоны ноля, при достижении закрыть позицию. Профитной торговли. |
Сообщений: 0 | | #845 - 4 марта 2013 в 20:12 | |
Курс на данный момент находится в нижней части канала Боллинджера, и, как можно заметить, понижение идет уже довольно долго. Пока что рынок не дает оснований полагать, что в ближайшее время тенденция изменится. Пока рекомендую рассматривать продажи до уровня 0.81 и продавать до каких либо сигналов по MA и MACD. |
Сообщений: 838 | | #846 - 4 марта 2013 в 22:36 | |
В прогнозе на вторник по паре NZD/USD исходя из фундаментального анализа, завтра выходит лишь одна новость по Индекс деловой активности в сфере услуг (ISM) США, которая может повлиять на движение в паре в пользу доллара. Исходя же от технического анализа пара уверенно продолжает снижаться отдаляюсь от МА200, МАСD так же находится в приличном минимуме, и то что восходящий тренд был пробит, дает основание для дальнейшего снижения пары к целевому уровню 0,8180
|
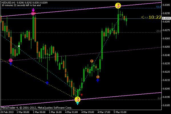
Сообщений: 2444 | | #847 - 5 марта 2013 в 03:11 | |
Достигли целевой уровень прогноза.
От текущих уровней ожидаю формирование цикла вниз..
Ключевой уровень сопротивления:0.8305.
Murrex AO-положительно направлен.Призывает к осторожности.
Целевые уровни формирования цикла вниз:0.8240 и 0.8210.
Никогда и ничего не просите! Сами предложат и сами всё дадут |
Сообщений: 0 | | #848 - 5 марта 2013 в 11:38 | |
На часовом графике пара очень неплохо смотрится вниз ..торги происходят под линией тренда ,и сейчас пара как раз откатывает к диапазону сопротивления 0.8290 -0.8320,о куда и ожидается отбой в южную сторону..даже уперлись в скользящую среднею с периодом 200,так что понемногу можно набирать позицию на юг с целями 0.8190... |
Сообщений: 2444 | | #849 - 5 марта 2013 в 15:39 | |
По паре как и предполагалось,начали формирование цикла вниз.
Ключевой уровень сопротивления:0.8305.
Murrex AO-отрицательно направлен.
Целевые уровни формирования цикла вниз(остаются те же):0.8240 и 0.8210.
Никогда и ничего не просите! Сами предложат и сами всё дадут |
Сообщений: 0 | | #850 - 5 марта 2013 в 16:17 | |
Доброго времени суток . Данная валютная пара NZD/USD Тайм часовка. торгуется в нисходящем канале обозначила верхнюю границу каналапрошламедиану и направляется к противоположной сторонеКак только ретест состоитсяследуетвходить в рынок в шортторговать на отбой от стенок канала
|
Сообщений: 0 | | #851 - 5 марта 2013 в 20:32 | |
Пока о северном росте говорить рановато, если внимательно проанализировать дневной график, то хорошо видно что пара сейчас тестирует пробитый чуть ранее наклонный долгосрочный уровень, около него и происходит сейчас консолидация,на часовом же графике курс сейчас уперся в 200 скользящею (выше которой пару не пускают- 8300 фигура)- думаю она и станет точкой возобновления южного снижения. |
Сообщений: 838 | | #852 - 5 марта 2013 в 23:19 | |
В прогнозе на среду по паре NZD/USD исходя из фундаментальных данных, завтра ожидает лишь одна значимая новость, «изменение числа занятых в несельскохозяйственном секторе по данным ADP» в США, которая может повлиять на пару, и вероятней всего данные будут близки к данным по прошлой неделе. Исходя же из технического анализа вероятней всего рост еще продолжится , об этом свидетельствует MACD, переходящий в плюс, на уровне 0,8660, пара может встретить сильнейшее сопротивление у линии сопротивления тренда, где так же проходит МА200. Поэтому я ожидаю роста пары до 0,8655, после чего разворот пары на снижение к текущим уровням.
|
Сообщений: 0 | | #853 - 6 марта 2013 в 15:00 | |
если хорошо проанализировать часовой график то можно заметить восходящий канал (который имеет среднесрочный характер), именно к нижней границы данного канала только что подошла пара, уже заметна полная остановка предыдущей южной волны и консолидация, заметен выход обьема- похоже быки начали перекупать, держу покупку, стоп чуть ниже 8305. |
Сообщений: 0 | | #854 - 6 марта 2013 в 19:43 | |
Данная пара совершила довольно отчетливый рывок вверх, однако на мой взгляд он вряд ли приведет к чему-то действительно серьезному. В ближайшее время ожидаю возвращения к предыдущему уровню курса в район 0.8270 с последующим переходом в нисходящий тренд. В случае же продолжения роста целью выступает уровень 0.84. |
Сообщений: 838 | | #855 - 6 марта 2013 в 23:52 | |
В прогнозе на среду по паре NZD/USD исходя из технического анализа, сегодня пара после значительной коррекции развернулась на снижение от 38.2% линии Фибоначчи. И сейчас находится на уровне 0,8297. В прогнозе на завтра ожидаю дальнейшее снижение пары до 0,8260, основываясь на данных индикаторов, таки как МА200, в близи которой график вновь продолжил снижение , а так же стохастик, перейдя в зону перекупленности.
|
Сообщений: 2444 | | #856 - 7 марта 2013 в 05:42 | |
Достигли целевой уровень прогноза.
Ожидаю продолжение формирования цикла вниз..
Ключевой уровень сопротивления:0.8330.
Murrex AO-отрицательно направлен.
Целевые уровни формирования цикла вниз:0.8240 и 0.8210.
Редактировалось: 1 раз (Последний: 7 марта 2013 в 05:51) Никогда и ничего не просите! Сами предложат и сами всё дадут |
Сообщений: 0 | | #857 - 7 марта 2013 в 16:32 | |
Доброго времени суток. Цена на четырёхчасовом графике отскочила от пробитой линии низходящего канала и направилась в северном направлении. Ожидаю дальнейший рост цены вначале к уровню 0.8322(38.2 Фибоначи), в случае пробития этого уровня дальнейший рост к уровню 0.8363. Профитной торговли. |
Сообщений: 2444 | | #858 - 7 марта 2013 в 16:49 | |
Сформировали коррекционную волну вверх.
Пока уровень 0.8330 остается ключевым сопротивлением,существует вероятность формирования цикла вниз.
Murrex AO-отрицательно направлен.
Целевые уровни формирования цикла вниз:0.8240 и 0.8210.
Редактировалось: 1 раз (Последний: 7 марта 2013 в 16:49) Никогда и ничего не просите! Сами предложат и сами всё дадут |
Сообщений: 1667 | | #859 - 7 марта 2013 в 19:02 | |
Подходящий момент для любителей поторговать в канале,так как нет предпосылок для выхода цены из данного канала.Пара скорее всего опустится до нижней линии канала где произойдет отскок к верхней линии.Рекомендую поставить лимитный отложенный ордер и тралить его по нижней линии канала.Стоп небольшой,около 15-20 пунктов.
|
Сообщений: 0 | | #860 - 8 марта 2013 в 02:16 | |
На данный момент пара находится в середине канала, и, на мой взгляд довольно непросто точно определить направление курса. Но лично я воспользовавшись помощью индикатора MACD все же рассматриваю продажи с целью 0.8230. Если же произойдет поворот тренда вверх рекомендую рассматривать покупки до уровня 0.8365. |