Получить депозит форекс за общение на форуме Бездепозитный бонус 100$

Основные. USD/JPY. Аналитика. Страница - 91

Аналитика и прогнозы по USD/JPY
  
МедальКубок
Сообщений: 5699

Пара показывает значительный рост, но я вышел с рынка и ожидаю откат пары на отработку 101.48. Я не вижу фундаментальных оснований для продолжения роста сегодня.
Медаль
Сообщений: 279
Приветствую уважаемых трейдеров! Мой аналитический прогноз на среду 28 мая по валютной паре доллар иена. Пара USD/JPY сегодня начала формирование возобновления волны роста,рассматриваю её как коррекционную волну от прошлого снижения к 100.63. Цель этой восходящей волны расчётная полагаю будет на уровне 103.90. Далее ожидаю отбой от линии сопротивления на развитие коррекционной волны снижения к уровням 103.30 и 102.71
Медаль
Сообщений: 838
Попытки закрепиться выше 102,0 фигуры, встречаются активными продажами, что может вылиться в начало более сильной коррекции пары. И я думаю что если пара закроет день ниже 102,0 то снижение возобновится вплоть до линии тренда в районе 101,40. Если рассматривать индикаторы, то макд сохраняет сигнал на рост, а вот стохастик подал сигнал на продажу в зоне перекупленности. Я собираюсь занять короткую позицию от текущей цены с целью 101,40
МедальКубок
Сообщений: 5699

Пара возобновила рост так и не пробив нижнюю границу. На завтра более вероятным остается продолжение роста на отработку уровня 103.67, пробой мало вероятен но возможен.
Медаль
Сообщений: 2565
Рост курса доллра на сегодня в целом так и не помог паре пробить уровень сопротивления который я указывал ранее и который в рамках восходящего тренда может стать разворотным и сменить тренд впоследствии на нисходящий,пока оптимально это вход на продажу,если пробиваем уровень сопротивления 102,55 то продажи нужно закрывать,а так цели для снижения это 100,50/70
Торгую у брокера FXOpen
Медаль
Сообщений: 401
После небольшой коррекции цена пары доллар - йена отбившись от линии тренда возобновила своё восходящее движение. В случае пробоя уровня 103.70 можно ожидать цену на 104.50. В последнее время цена идёт вверх с небольшими коррекциями и сейчас как раз закончилась такая коррекция, что позволяет войти в покупки очень удачно.

Сообщений: 0
Пара USD/JPY уже несколько дней торгуется выше уровня 102,но вчера и цена сделала попытку подняться но выше сопротивления 102.5 не смогла уйти...так что судя по всему торги так и будет происходить в широком коридоре,и если пробить 102 вниз то может быть хорошее падения к 100.70..
Сообщений: 587
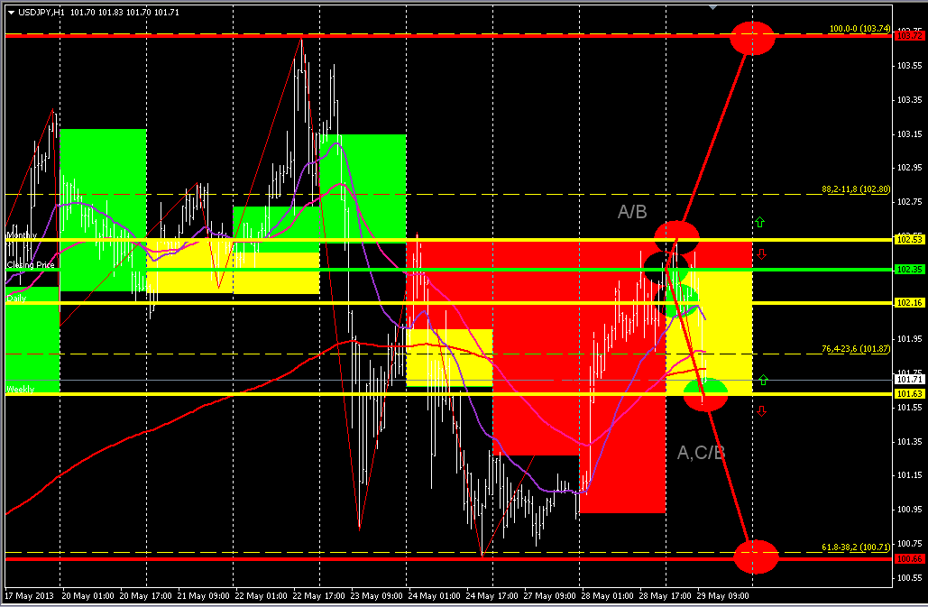
Доброго времени суток, уважаемые трейдеры!

Пара снижается, после отскока от ключевого уровня сопротивления 102,53 (месячный и недельный объем фьючерса), и формирует медвежью неопределенную волну А,С/В (Н1). Снижение пары ограничивает уровень 101,63 (недельный объем фьючерса). В целом, ситуация неоднозначная.
Прикрепленные файлы:
jpychart290513_lod78.gif | 32.43 Кб | Скачали: 311
Если вам понравилась данная статья, проголосуйте за автора в конкурсе "Аналитик Года" по следующей ссылке (кнопочка «Повысить»)
Медаль
Сообщений: 222
usdjpy цели пока не меняет, идем к 99фигуре, а там уже ключевой момент или разворот в сторону 95 фигуры или же отбой коррекции.
МедальКубок
Сообщений: 5699

пара после снижения отскочила от уровня 101.48 и начала подрастать. Поэтому пока основное направление остается прежним, рост на отработку уровня 103.67.
Медаль
Сообщений: 999
Валютная пара USD/JPY не смогла развить рост и начала снижение. На Н4 пробит уровень поддержки канала и осуществлен его ретест, поэтому предпочтительны продажи с текущих уровней с первой целью 100,45, что соответствует уровню 50% по Фибоначчи, и второй целью 99,70, что соответствует уровню 61,8% по Фибоначчи.
Прикрепленные файлы:
usdjpyh4_1e9tq.png | 24.67 Кб | Скачали: 393
Медаль
Сообщений: 2565
Пара вполне ожидаемо в рамках восходящего тренда достигла уровня поддержки о котором я писал ранее,тбой между тем от области сопротивления которую я тоже обозначил ранее,так что по идее должны пробить уровень поддержи и продолжить снижение,но продажи по паре на текущий момент лучше прикрыть и подождать дальнейшего развития событий.
Торгую у брокера FXOpen
МедальКубок
Сообщений: 5699

Пара снижалась причем довольно активно. Покупки рассматриваю только на пробой уровня 101.48, а пока только продажи на отработку уровня 99.77. Но завтра возможны варианты.
Сообщений: 44
На данный момент по USD/JPY пара двигается в узком нисходящем коридоре, до конца недели (или месяца) думаю цена опуститься еще ниже, вплоть до уровня 100.00 или ниже.
Сообщений: 587
Доброго времени суток, уважаемые трейдеры!

Пара продолжает снижение и формирует медвежью импульсную волну А,С (Н1). Давление на пару оказывает ключевое сопротивление на уровне 102,53 (месячный и недельный объем фьючерса), которое также ограничивает рост. В случае пробоя 100,66, цели – 100 (психологический уровень) и 98,97 (предыдущий месячный объем).
Прикрепленные файлы:
jpychart300513_m6um2.gif | 32.21 Кб | Скачали: 379
Если вам понравилась данная статья, проголосуйте за автора в конкурсе "Аналитик Года" по следующей ссылке (кнопочка «Повысить»)
Медаль
Сообщений: 2565
По паре на сегодня пробили указанный ранее уровень поддержки по паре,теперь если закрепимся ниже то последует смена тренда на нисходящий в рамках которого уровнем поддержки уже выступит район 98,50,пока вне рынка,но покупки теперь так или иначе рассматривать не буду до пробоя уровня сопротивления по паре на 102,50
Торгую у брокера FXOpen
МедальКубок
Сообщений: 5699

Пара сегодня снова протестировала уровень 101.48 и отскочила в низ. Сейчас возможен очередной откат на тест уровня 101.48 и если цена дойдет то очень вероятен пробой. Но пока внутридневной тренд смотрит на север и я рассматриваю только продажи.
Медаль
Сообщений: 999
Валютная пара доллар/йена движется в рамках нисходящего канала 4-хчасового графика. Прогнозирую рост котировок с текущих уровней к уровню сопротивления канала 101,97, откуда начнется дальнейшее падение с основной целью на уровне поддержки канала 99,70, что также соответствует уровню 61,8% по Фибоначчи.
Прикрепленные файлы:
usdjpyh4_rf2n1.png | 25.09 Кб | Скачали: 360
Сообщений: 0
Пара сегодня пошла немного на верх,пробив довольно таки важный уровень сопротивления 101.30,и сейчас идет свеча отката для тестирования этого же уровня,так что посмотрим насколько эта отметка важна ,если не пройдет сразу вниз,а будет остановка то нужно покупать..
Медаль
Сообщений: 279
Прогноз и аналитика на завтра 31 мая исходя из технического анализа по валютной паре USD/JPY Пара доллар иена на таймфрейме Н4 движется в восходящем коридоре. На завтра рассматриваю развитие продолжения роста на отработку уровня 101.78 если паре удастся закрепиться выше этого уровня то рост продолжится вплоть до уровня 102.44 И далее буду рассматривать развитие следующего звена снижения обратно к уровню 100.50 А если уровень
101.78 не будет пробит выше то последует снижение от этого уровня.
В начало страницы 
|
Перейти на форум:

← Назад