
Основные. GBP/USD. Аналитика.
Сообщений: 1160 |
![]() | ||||
Сообщений: 4381 |
| ||||
Сообщений: 482 |
Внимание, по фунту сейчас интересный момент, он похоже пробивает ценовой канал, пробой такого канала показывает очень четкую цель, это 100% ширины пробитого канала, на рисунке фиолетовая линия, стоп думаю стоит прятать за уровень показанный белой горизонтальной линией на скрине. ![]() | ||||
Сообщений: 838 |
Пара движется в восходящем тренде, и в пятницу был пробой линии сопротивления, после чего пара откатилась выше, где и закрыла день. Макди указывает на продолжение снижения пары, в отличие от стохастика и RSI, которые находятся в зоне перепроданности, указывающие на скорый рост. Поэтому думаю что пока стоит остаться в продавцах, со стопами вблизи 1,54 фигуры.
![]() | ||||
Сообщений: 279 |
Здравствуйте уважаемые трейдеры! Мой прогноз на предстоящую неделю с 13.05.2013 по 17.05.2013 по валютной паре GBP/USD фунт движется строго по восходящему коридору на графике D1 из этого я рассматриваю дальнейшее восходящее движение по тренду в район уровня 1.5337 за тем отбой пары от линии поддержки в район уровней 1.5407(38.2%уровень фибоначи) 1.5478 1.5581 и далее ожидаю разворот пары на снижение. ![]() | ||||
Сообщений: 279 |
В моём аналитическом прогнозе по валютной паре GBP/USD на понедельник 13.05.2013 валютная пра фунт доллара на графике H4 в пятницу приблизилась к линии поддержки и оттолкнулась от неё по этому рассматриваю на завтра дальнейшей рост пары 1.5364 и выше к 1.5390,осцилятор стохастик так же указывает на восходящую тенденцию! ![]() | ||||
Сообщений: 500 |
На этой недели пара фунт доллар смогла пробить уровень сопротивления в цене 1.5487 и пара пошла ниже к уровню поддержки в цене 15325 но пробить этот уровень не смогла и начала подниматься и пятницу закрылась в цене 1.5362,думаю что пара на следующей недели пойдет на коррекцию к уровню сопротивления в цене 15383 и выше а потом продолжить снижаться к уровню поддержки в цене 1.5188. ![]() | ||||
Сообщений: 1701 |
Доброе всем утра)
Надеюсь все хорошо отдохнули от праздников ибо уже половина мая за спиной! Фунт на Н4 Показывал прекрасное нисходящее движение от 5 мая.. и вот достиг видать своего минимума а именно 200й машки, уровень 1,5342 Можно ли предположить что это все и спускаться ему некуда пока нельзя..однако есть цель в верху 1,5436 Пара закрепилась над уровнем вчерашнего лоу... падение продолжиться ниже 1,5330 ![]() Редактировалось: 1 раз (Последний: 13 мая 2013 в 12:27) | ||||
Сообщений: 1160 |
![]() | ||||
Сообщений: 587 |
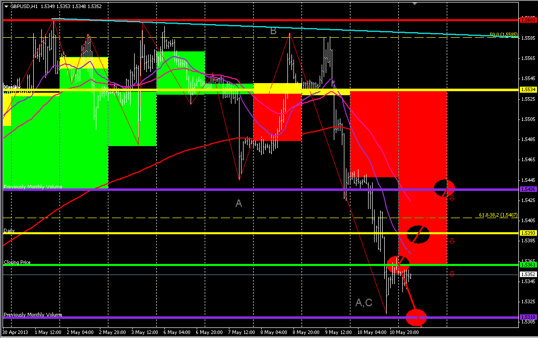
Доброго времени суток, уважаемые трейдеры!
Пробив сильную поддержку на уровне 1,5436 (предыдущий месячный объем), пара снижается, начав формирование медвежьей импульсной волны А,С (Н1). Снижение приостановлено на границе целевого уровня 1,5310 (предыдущий месячный объем). Пробой данного уровня открывает путь для дальнейшего снижения к следующему целевому уровню 1,5228 (предыдущий месячный объем). Рост пары ограничивает сопротивление на уровне 1,5393 (дневной объем пятницы), а также сильное сопротивление 1,5436 (предыдущий месячный объем). Ключевой уровень 1,5534 (месячный и недельный объем фьючерса) оказывает давление на пару. Прикрепленные файлы:
| ||||
Сообщений: 2534 |
На сегодня по паре фунт доллар уровнем поддержки в рамках восходящего тренда выступает 53 фигура,но фундамента для роста пары кроме как данных по ВВП я не вижу,ожидаю у текущего уровня по паре формирование бокового движения либо флета по завершению которого пара продолжит снижение если данные по Великобритании не окажут повышающее давление на пару. ![]() Торгую у брокера FXOpen | ||||
Сообщений: 0 |
Интересная ситуация на дневном графике образовалась по gbp, пара вплотную подошла к наклонной долгосрочной линии тренда около которой уже началась консолидация (признак активности быков),на 4 часовом графике около данной отметки проходит 200 скользящая, целью думаю станет 5470 как минимум, юг не рассматриваю. ![]() | ||||
Сообщений: 500 |
Сегодня пара фунт доллар торгуетьсяв боковом движении около уровня сопротивления в цене 1.5377,думаю что пара сможет пробить этот уровень и пойдет выше к уровню недельного сопротивления в цене 1.5524 возможно немного выше.
![]() | ||||
Сообщений: 999 |
Валютная пара корректируется после падения на прошлой неделе. В данный момент ожидаю продолжения коррекции к уровню 38,2% по Фибоначчи, а именно 1,5418, откуда валютная пара продолжит снижения к уровню 1,5378, что соответствует уровню 23,6% по Фибоначчи. Отмечу также то, что гистограмма MACD также повышается. Прикрепленные файлы:
| ||||
Сообщений: 2095 |
Пара начала сегодняшний день с возобновления северного роста, курс уже прорвал ряд важных уровня сопротивления, сейчас пара начала прорывать зону верхнего фрактала 5380 (около которой проходит синяя скользящая)- прорыв данной отметки и станет сигналом на покупку, он откроет путь к 5400 и 5450 (основная цель). ![]() | ||||
Сообщений: 482 |
Пара пока не смогла закрепиться ниже канала на н4, я думаю ее продать в районе канала на н1, падение прошлой недели говорит о том что скорей всего оно продолжится, так что жду коррекции для продажи.. Долгосрочный тренд остается нисходящим. ![]() ![]() | ||||
Сообщений: 2534 |
По паре сегодня вполне ожидаемо продолжили движение в южном направлении в рамках пока еще восходящего тренда,в целом фундамента по Великобритании который смог бы поддержать пару в момент когда курс доллара растет я пока не вижу поэтому пара вероятней всего будет торговаться в рамках 53-54 фигуры,возможно еще снижение до 1,5200 то коррекции все равно не избежать,готовимся к баям. ![]() Торгую у брокера FXOpen | ||||
Сообщений: 2641 |
![]() Фунт набирает какую-то нереальную силу для северного импульса, полет будет просто дикий, остановку вижу выше 1,6200, на дневном графике виден ложный пробой, по этому можно и не поверить моему прогнозу, но Фунт был всегда весьма коварной валютой. Мои посты заставляют задуматься. | ||||
Сообщений: 279 |
Мой аналитический прогноз по валютной паре GBP/USD на вторник 14.05.2013г. Исходя из технического анализа,пара фунт доллар снова торгуется в очередной волне снижения. На часовом таймфрейме фунт торгуется в очередной волне снижения,цель этого снижения ожидаю на уровне 1.5266. Далее рассматриваю коррекционный возврат к уровню 1.5330. После этого возврата пологаю ещё одно снижение на пробой и перекрытие уровня 1.5290. ![]() | ||||
Сообщений: 838 |
Пробитие, и закрепление пары как линии сопротивления восходящего тренда, как и 200 дневной скользящей средней, указывает на более сильное снижение пары. Преодоление 38.2% линии Фибоначчи, откроет дорогу для более сильного снижения вплоть до 1,5130, где проходит 61.8% линия Фибоначчи. Макди сохраняет нисходящую тенденцию, а вот RSI находится в зоне перепроданности, что может вызвать некоторую коррекцию пары, на вряд ли она будет значительной. Поэтому я рассматриваю продажи с целью 1,5145.
![]() |
| В начало страницы |




































