
Основные. EUR/USD. Аналитика. Страница - 152
Сообщений: 0 |
После вчерашнего пробоя уровня 1,3123, сегодня-завтра думаю увидеть быков в 32 фигуре. В настоящий момент наблюдаю дивер, правда довольно слабый на Н4,а также определенную перкупленность, поэтому жду отката и ориентируясь на отскок буду начинать покупки от уровня 1,3153.
![]() | ||||
Сообщений: 0 |
![]() | ||||
Сообщений: 2582 |
По паре на сегодня проанализировав ситуацию пришел к решению что покупки по евро доллару лучше закрыть,уже завтра выйдут данные по ставке ЕЦБ,думаю в ожидании решения по ставкам большинство игроков прикроют свои покупки по евро,да и прогноз как ни как на понижение,хотя я не думаю что он оправдается,но все возможно,луче перестраховаться и взять профит а текущем уроне. ![]() Торгую у брокера FXOpen | ||||
Сообщений: 1701 |
Пара сегодня дала возможность выставить отложенные ордера на границах своего узкого диапазона.
Вообще заметила что пара движется какими-то конвульсивными движениями, пофлетит пофлетитпотом как полетит и опять. Странно это все, как будто ее подталкивают вверх насильно!! Цель роста 1,3200 Сопротивление 1,3185 необходимо пробить,.. Если возможно, то спуск будет до 1,2995 Не сегодня конечно:))).. хотяяяя ![]() | ||||
Сообщений: 2582 |
Рановато видимо вышел с покупок по паре.Индикатор указал на продолжение восходящего тренда по паре так что неделя будет за быками.Завтра если ставку оставят на прежнем уровне и будут импульсные скачки в южном направлении в пределах одной фигуры то буду бить по тренду,если ставку понизят то баи по паре отменяются. ![]() Торгую у брокера FXOpen | ||||
Сообщений: 1160 |
![]() | ||||
Сообщений: 1701 |
Доброе утро.
Сегодня будет чрезвычайно важная новость по Еврозоне в 15:45, это "Публикация решения ЕЦБ по основной процентной ставке " по которой ожидается снижение с 0,75% на 0,50% Это конечно только прогнозы и все естественно может остаться как есть но если такие разговоры уже пошли и есть намеки на то чтобы снизить ставку, значить на то есть свои предпосылки! Можно ли ожидать серьезного снижения пока трудно сказать... но все возможно! Редактировалось: 1 раз (Последний: 2 мая 2013 в 10:06) | ||||
Сообщений: 587 |
Доброго времени суток, уважаемые трейдеры!
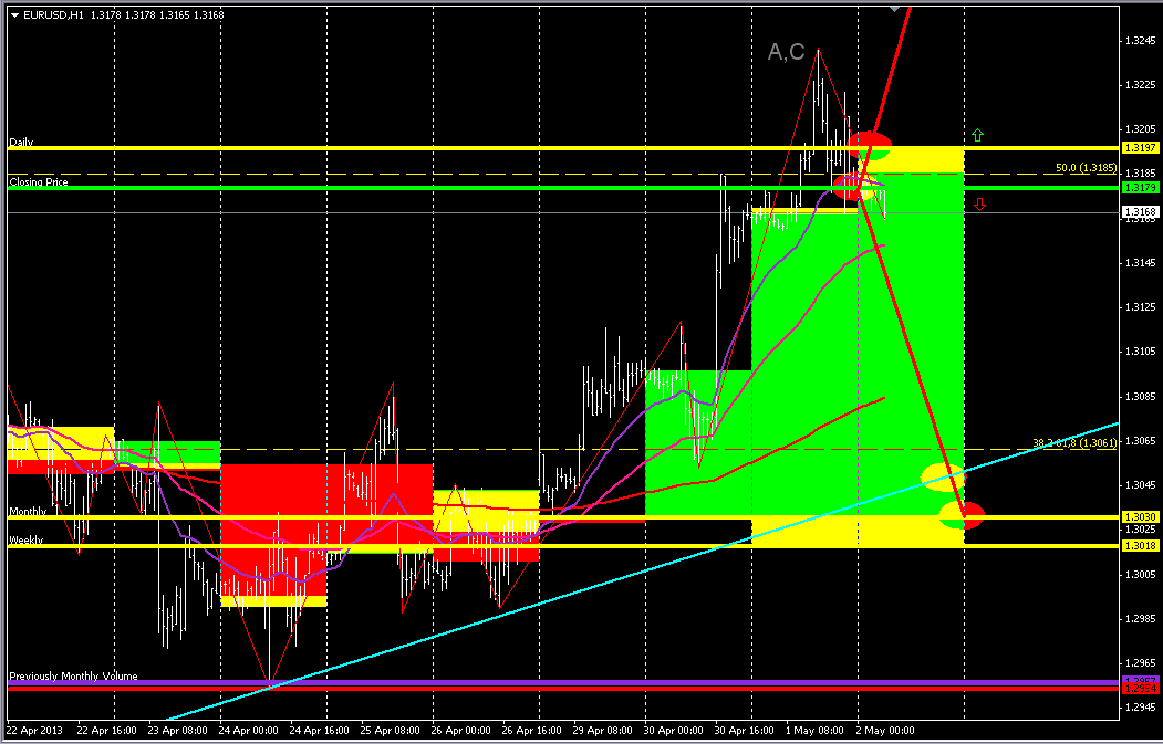
В центре внимания, сегодня, объявление о процентной ставке ЕЦБ, в 15:45 (МСК). Ожидается снижение до 0,5%, текущее значение 0,75%. В 16:30 пресс-конференция ЕЦБ. Теперь теханализ. Пара корректируется по отношению к предыдущему росту, продолжая формирование бычьей импульсной волны А,С (Н1-Н4). Предыдущий рост сформировала восходящую трендовую линию (Н4), защищающую движение вверх и ограничивающую снижение цены. Роль сопротивления играет вчерашний дневной объем на уровне 1,3197. пробой данного уровня открывает пространство для дальнейшего роста, с целью на 1,3350 (предыдущий месячный объем). Снижение пары ограничивает ключевой уровень поддержки 1,3030 (месячный объем). Не смотря на рост, горизонтальные объемы формируют флетовую структуру, в связи с чем, ситуация неоднозначная. Прикрепленные файлы:
| ||||
Сообщений: 0 |
Пока пара не сумела укрепится выше горизонтального сопротивления -3200 фигуры (курс прошил лишь ложным пробоем данную отметку - что только усиливает южные сигналы), сигналом на продажу должен выступить прорыв поддержки 3155 что должно открыть 3100 и 3065 + MASD образовал сигнал на продажу. ![]() | ||||
Сообщений: 1160 |
![]() | ||||
Сообщений: 2095 |
Решила только что открыть продажу, пара уверенно укрепилась ниже скользящих аллигатора выше которых курс не пускают,заметно также смещения зоны сопротивления на юг, еще одну продажу планирую открыть при прорыве 3150 (зона нижнего фрактала)- это окончательно откроет путь к 3100 фигуре. ![]() | ||||
Сообщений: 2582 |
Пара в рамках восходящего тренда продолжает плавное коррекционное снижение в ожидании решения по процентной ставки,прогноз на понижение,но не факт что оправдается так что готовимся открывать длинные позиции по паре в рамках восходящего тренда,если ставку понизят то покупки отменяются,поиск точки на продажу это уже перспектива завтрешнего дня. ![]() Торгую у брокера FXOpen | ||||
Сообщений: 0 |
У модераторов хочу спросить , в чём причина удаления вот этого утреннего поста ?
Доброе утро...в ближайшее время по евробаксу ожидаю уровень 1.3040-60, если его пробьём цель 1.2860 плюс - минус 50 пунктов....смотрел по дневному графику, отличный пин-бар вчера зарисовали...
Модератор
Редактировалось: 1 раз (Последний: 3 мая 2013 в 10:19) | ||||
Сообщений: 2444 |
По текущей ситуации на Н1: возможно формирование цикла вверх.
Пока уровень 1.3 выступает поддержкой,существует вероятность технического отскока . Murrex AO-отрицательно направлен.Призывает к осторожности. Целевые уровни формирования цикла вверх:1.3125 и 1.3160. ![]() Никогда и ничего не просите! Сами предложат и сами всё дадут | ||||
Сообщений: 0 |
Доброе утро всем на азии пара зафлетила ,так что дальнейшее движение будем смотреть на открытии Европы , есть вариант с текущих уйти к 1.3120, либо с них же к уровню 1.2860 , картинка - если кто нибудь, что нибудь поймёт...Удачи всем.. ![]() | ||||
Сообщений: 0 |
То, что при движении цены на юг индикатор АДХ на Н4 неактивен, говорит, конечно, в пользу быков.
![]() Редактировалось: 1 раз (Последний: 3 мая 2013 в 10:18) | ||||
Сообщений: 587 |
Пара снизилась после решения ЕЦБ о снижении процентной ставки до 0,5%, но остается выше ключевого уровня поддержки 1,3030 (месячный и недельный объем фьючерса). Снижение приостановлено на границе восходящей трендовой линии (Н4), защищающей движение вверх. Для дальнейшего снижения необходимо пробивать ключевой уровень 1,3030. Рост пары ограничивает сопротивление на уровне 1,3175 (вчерашний дневной объем). В целом, флет и ситуация неоднозначная. Прикрепленные файлы:
| ||||
Сообщений: 0 |
Начинаю набирать покупки, пара после долгой консолидации около 200 скользящей все же прорвала ее (сопротивления 3075) после чего произошло образования импульсной северной волны, начал свою отработку сигнал на покупку MACD, профит ставлю около максимума недели -3220+-, стоп ниже часовой свечи. ![]() | ||||
Сообщений: 1160 |
![]() | ||||
Сообщений: 2095 |
Пока еще об возобновлении северного тренда говорить рановато, пара только что на своем северном (коррекционном ) пути встретилась с зоной сильного сопротивления 3100 фигурой около которой также проходит синяя скользящая аллигатора, от них и жду возобновления снижения с выходом к 3050 и 3020. ![]() |
| В начало страницы |



















