
Основные. AUD/USD. Аналитика. Страница - 71
Сообщений: 1667 |
По данной паре намечается хорошее положение цены для открытия ордера на покупку,на что показывает технический анализ и показания индикаторов.Цена пробила скользящую среднею 21,но так и пока не закрепилась.Фильтром для открытия ордера на покупку станет максимум свечи закрепившаяся выше скользящей средней,с профитом на сильном уровне Пивота на 1,0453.Стоп лосс на минимуме свечи закрепившаяся выше скользящей средней 21.
![]() | ||||
Сообщений: 7014 |
По паре австралиец\доллар сформировалась на Н1 дивергенция и пара откатила вверх. Сейчас она торгуется в узком диапазоне, что говорит о неопределенности. Кроме того пара несколько раз пробила 23% Фибо. рекомендуем покупки если пара пробьет уровень дневного сопротивления по цене 1.0426 но только на ретесте этого уровня с целями перепись максимума. И рекомендуем продажи если пара пробьет 23 % Фибо и уровень сегоднишнего минимума по цене 1.0385 с целями 38% Фибо ![]() | ||||
Сообщений: 0 |
По aud/usd на 4 часовом графике можно заметить что пара подошла к наклонному среднесрочному уровню поддержку, после касания к которому произошел разворот на север, но для покупок нужно ждать прорыв краткосрочного горизонтального уровня 0420 что должно открыть цели 0450 и 0490, учитывая текущее падения американского доллара пока юга не рассматриваю. ![]() | ||||
Сообщений: 2095 |
AUD практически не отработала сигнал на продажу, пара опять тянется на север, сегодня пара сумела преодолеть зону 2 сильных верхних фракталов (0426+-) и сейчас вплотную подошла к синей скользящей аллигатора, если курс сумеет укрепится выше нее тогда можно говорить об возобновлении северного тренда, это должно окончательно открыть 0500 фигуру. ![]() | ||||
Сообщений: 0 |
![]() Пара находится в середине канала Боллинджера и более вероятным является возникновение восходящего тренда. Индикаторы МА и MACD так же свидетельствуют о начале подъема. Рекомендую покупать с целью 1.0460, а в случае взятия и закрепления выше этой цели 1.0520. Продажи рассматривать буду лишь после достижения уровня 1.0380. | ||||
Сообщений: 1240 |
igoryak
Рекомендую покупать с целью 1.0460, а в случае взятия и закрепления выше этой цели 1.0520. Посмотрим, что будет дальше. Чуть больше часа осталось до выхода новостей по Решению Резервного Банка Австралии по основной процентной ставке. Может рынок более живее отреагирует на эту новость и потянет цену вверх. Сам встаю в длинную позицию на уровне 1.0465 Никто не может вернуться в прошлое и изменить свой старт. Но каждый может стартовать сейчас и изменить свой финиш. | ||||
Сообщений: 365 |
Вчера цена довольно таки неплохо пошла вверх, и пробила верхнюю границу канала Боллинджер. На сегодня думаю, что будет падение цены до верхней границы канала, пробитие границы до уровня средней скользящей. Если верить индикатору, цена недолго продержится выше верхней границы. Стоп лосс ставим 18-26 пунктов! ![]() | ||||
Сообщений: 0 |
![]() | ||||
Сообщений: 316 |
На мой взгляд пара дает шанс начать продажи тем, кто не успел, хотя попытку штурма отметки 1,05 не упускаю из вида. Уже открыл селл с уровня 1,0480 с ближней целью 1,0425 и выставил отложенные селл ордера с уровней 1,0525 и 1,0555 с целями 1,0325 и 1,0280. | ||||
Сообщений: 482 |
На мой взгляд пара рисует разворот тренда, очень похоже на формирование двойной вершины, во всяком случае мне данные уровни показались оптимальными для продажи, а там посмотрим, первая цель лоу недели, дальше будем увидеть, есть два варианта, первый, падение, если будет, это коррекция на рост, второй рост это была коррекция на падение начала года. ![]() | ||||
Сообщений: 587 |
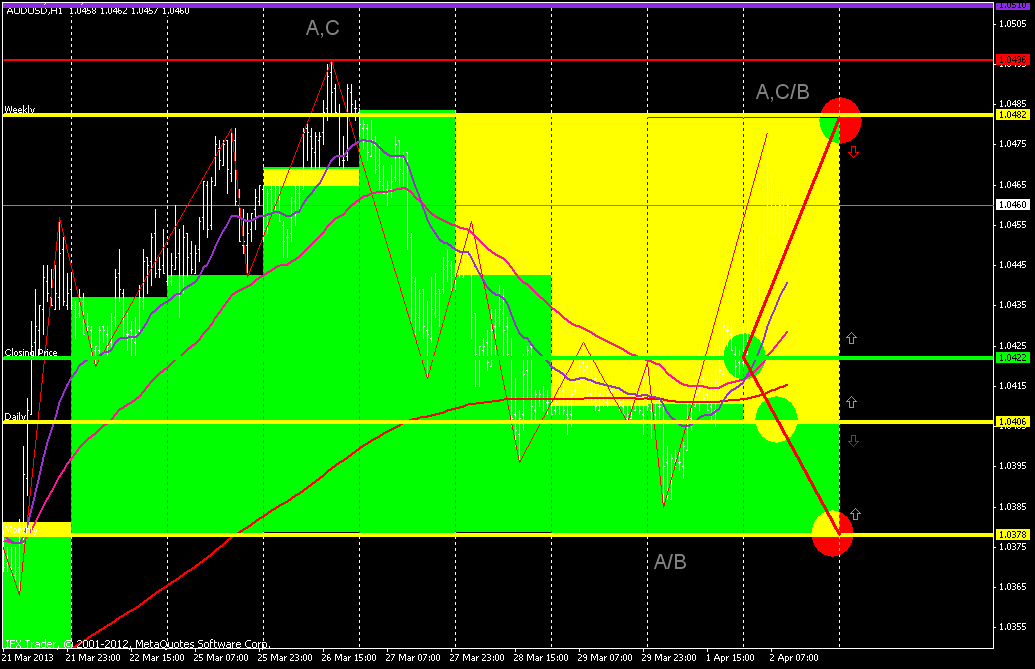
Доброго времени суток, уважаемые трейдеры!
Цена в желтой зоне флета и рост пары ограничивает сопротивление на уровне 1,0482, где находится недельный объем фьючерса. Формируется бычья неопределенная волна А,С/В (Н1). Снижение пары также ограничено ключевым уровнем 1,0378 (месячный объем фьючерса), который оказывает ей поддержку. Таким образом, ситуация неоднозначная. Прикрепленные файлы:
| ||||
Сообщений: 1667 |
Хорошее движение по данной паре и предполагаю еще некоторые движение быков до сильного уровня Пивота 1,0485,от которой цена отскочит на небольшую корекцию до уровня 1,060,на что показывают технический анализ старших тайфремов и показания индикатора.Намереваюсь взять эту корекцию отложенным ордером на продажу на уровне 1,0485 с небольшим стопом на уровне 1,0500.
![]() | ||||
Сообщений: 11054 |
Вчера после отбоя от уровня 38% Фибоначчи от промежуточного восходящего движения от цены 1.03882 пара начала стремительно расти. Создав новый восходящий канал. После пробоя 23% Фибоначчи от цены 1.04258 можно было пирамидится. Сейчас пара на импульсном движении движется к переписи последнего локального максимума, к цене 1.04945. Если сформируются разворотные формации на отбое от этого уровня рекомендуем продажи с стопом над линией сопротивления желтого канала, прибыль трейлим. Если все-таки пара пробивает этот уровень на ретесте входим в покупки с целью линия сопротивления канала и после ее пробития возобновляем покупки. Прибыль по сделках трейл ![]() https://fxcash.ru/?id=X74062 Возврат до 95% спреда с каждой Вашей торговой сделки | ||||
Сообщений: 0 |
AUD/USD отлично отработала отбой от наклонного уровня поддержки, если провести параллельную линию по недельному максимуму то можно увидеть восходящий канал, сейчас курс начал боковую консолидацию и уже образовал горизонтальный уровень поддержки 0450- от него и ожидаю продолжения роста с возможным прорывом 0500 фигуры что и выведет пару к верхней границы канала. ![]() | ||||
Сообщений: 2095 |
Если проанализировать дневной график то заметно что подошла к завершению (отбившись от скользящих аллигатора) коррекционная стадия и произошло возобновления трендовой волны, стохастик образовал сигнал на покупку,на 4 часовом графике пробита сильная зона верхних фракталов 0430 что окончательно открыло путь к недельному максимуму 0490 . ![]() | ||||
Сообщений: 2567 |
Пара по сути продолжает торговаться ниже пробитой линии поддержки так что вероятность снижения сохраняется,ожидаю снижения по паре на величину половины от восходящего тренда,а это район 1,0300,но для такого снижения пока не вижу фундамента и снижения цены на нефть ![]() Торгую у брокера FXOpen | ||||
Сообщений: 365 |
Сейчас цена по паре держится между средней линией и верхней границей канала Боллинджер, на периоде Н1. Ожидаю движение цены до средней линии канала, так как индикатор говорит о походе цены на юг, потом буду ждать пробитие средней линии канала, и движение цены к средней скользящей. Лося рекомендую ставить примерно 14-20 пунктов. ![]() | ||||
Сообщений: 587 |
Доброго времени суток, уважаемые трейдеры!
Пара корректируется после вчерашнего роста и продолжает формирование бычьей неопределенной волны А,С/В (Н1). Большие объемы сосредоточены на уровне 1,0462 (месячный и недельный объем фьючерса), где в данное время пара и торгуется, так что ситуация пока неоднозначная. В случае пробоя ключевого уровня цели роста будут расположены на уровне 1,0510 и 1,0545 (предыдущий месячный объем). Технически, снижение также возможно, сильная поддержка находится на нижней границе флет, на уровне 1,0379 (предыдущий месячный объем). Прикрепленные файлы:
| ||||
Сообщений: 7014 |
Вчера после сильного импульсного движения пара откатилась от цены 1.0479 к уровню 38% Фибоначчи от всего последнего восходящего движения. Где был хороший вход на покупки. Сейчас пара продолжает свой рост и приближается к переписи вчерашнего максимума. Если пара пробивает этот уровень рекомендуем на ретесте покупки с стопом ниже уровня с целью 1.0594. Но если пара отбивается от максимума на разворотных формациях рекомендуем продажи с целью 38% фибоначчи и только после пробития 38% пара продолжит коррекционное движение с целями 1.0420, а это уровень 61% Фибоначчи + дневной уровень. ![]() | ||||
Сообщений: 1414 |
Первое облако поддержки образовано:
- 50% уровнем коррекции Фибоначчи от роста 1 - 2 апреля - нисходящим уровнем поддержки по экстремумам 2 апреля - ранее пробитым уровнем от максимума 29 марта - медианой Вил Эндрюса - мувингом SMA14_d1 (рис.1,поз.1) Второе облако поддержки образовано: - нисходящим уровнем поддержки по экстремумам 28 марта и 1 апреля - 38% уровнем коррекции Фибоначчи от роста 4 - 26 марта - восходящим уровнем поддержки по минимумам 14 и 18 марта - нижней границей канала Вил Эндрюса - скользящими средними SMA20_d1 SMA200_d1 - 127% расширением по Фибоначчи (рис.1,поз.2) ![]() Рисунок 1. График курса aud / usd, h1 |
| В начало страницы |



















