
Основные. AUD/USD. Аналитика.
Сообщений: 4381 |
| ||||
Сообщений: 2444 |
Прорвали уровень сопротивления и подошли к границе наклонного канала на Н1.
Пока граница нк выступает сопротивлением,существует вероятность формирования цикла вниз. Ключевой уровень сопротивления:1.0255. Murrex AO-положительно направлен.Призывает к осторожности. Целевые уровни формирования цикла вниз:1.0160 и 1.0135. ![]() Никогда и ничего не просите! Сами предложат и сами всё дадут | ||||
Сообщений: 587 |
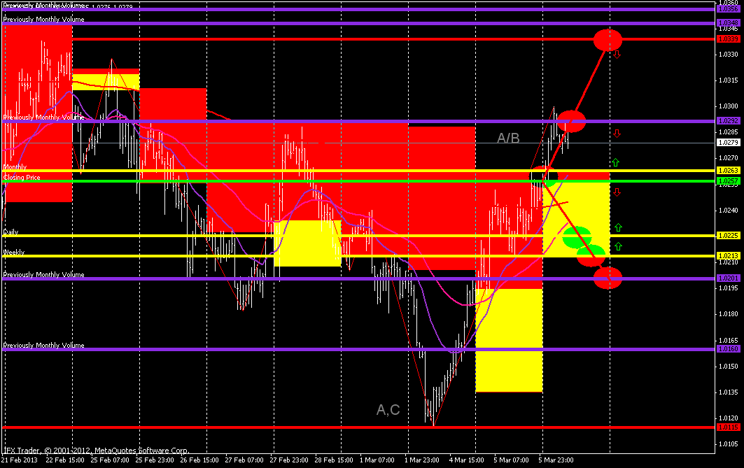
Доброго времени суток, уважаемые трейдеры!
Австралийский доллар продолжил рост и формирование бычьей неопределенной волны А/В (Н1), после публикации данных о процентной ставке Австралии, которая осталась без изменения, на уровне 3,00%. Рост пары ограничивает ключевое сопротивление на уровне 1,0263 (месячный и недельный объем фьючерса), там же проходит граница нисходящего наклонного канала (Н1), защищающего движение вниз. Торгуясь ниже ключевого уровня 1,0263, пара остается под давлением. Поддержка находится на уровне 1,0135 (вчерашний дневной объем). Прикрепленные файлы:
| ||||
Сообщений: 0 |
Здравствуйте уважаемые коллеги. Пара AUD/USDТайм Н4 торгуется в нисходящем канале Сейчас пара испытывает на прочность верхнюю границу канала прошла медиану. Сразу после ретеста границы канала можно входить в рынок в короткие позиции торговать на отбой от стенок канала Запас хода до противоположной границы канала. ![]() | ||||
Сообщений: 0 |
Пара продемонстрировала четкое касания верхней границы медвежьего канала (4 часовой график), на часовом графике также заметно образования разворотной формации "двойная вершина", RSI сделал изгиб на юг, к тому же образовалась свечная конфигурация падающая звезда, целью запросто сейчас может стать нижняя наклонная граница канала ( 0100 фигура+-). ![]() | ||||
Сообщений: 0 |
![]() Пара совершила довольно отчетливый рывок вверх, что, на мой взгляд, имеет все основания стать основой для восходящего тренда. Индикатор MACD так же говорит о надвигающемся росте. Ближайшей целью рассматриваю уровень 1.0295, а в случае достижения этого уровня 1.0345. Продавать думаю лишь в случае закрепления курса ниже средней линии канала Боллинджера. | ||||
Сообщений: 279 |
Мой прогноз на среду 6 марта по валютной паре AUD/USD Австралиец сегодня отработал коррекцию возврат к уровню 1.0253. Структура этого роста допускает ещё небольшое продолжение на перекрытие 1.0159 до конца дня. Завтра ожидаю нисходящее движение к ценовому уровню 1.0183 это снижение рассматриваю как волну продолжения медвежьего движения с целями на отработку 1.0118(0.0 уровень фибаначи) ![]() | ||||
Сообщений: 838 |
В прогнозе на среду по паре AUD/USD исходя из фундаментальных данных, завтра ожидаются две важные новости, «изменение числа занятых в несельскохозяйственном секторе по данным ADP», может почти не оказать влияние на пару, ВВП (Ежеквартальный) Австралии вполне может существенно повлиять, а так же то что в Китае происходит замедление роста экономики, может ослабить ауси. Исходя же из технического анализа, пара попрежнему находится ниже линии МА200, MACD, находится в ноле а стохастик находится в зоне перекупленности. Все это дает повод полагать что пара возобновит снижение к целевому уровню 1,0150
![]() | ||||
Сообщений: 0 |
Движение пары обусловленно границами ценового канала.Мощное коррекционное движение от его сопротивления к поддержки подходит к концу и осталось несколько пунктов до того момента.когда aud/usd будет тестировать его поддержку.На границе тестирования можно будет подумать о продаже пары со стопом чуть выше границы канала.Тейк профит из расчета движения в канале Прикрепленные файлы:
| ||||
Сообщений: 0 |
![]() | ||||
Сообщений: 4381 |
Достигнув линии сопротивления канала и здесь же проходила 50 -дневная скользящая средняя 4-х часового таймфера, предположил отбой от канала и открыл продажи. Пара начав медленный рост в Тихоокеанскую сессию продолжало расти в Азиатскую и вот линия канала взята и цена взяла направление к 200 -дневной МА. По всей видимости вчерашнее послевкусие ЦБ Австралии после объявления процентной ставки еще не прошло.Коррекция оказывается еще больше,чем я ожидал.
![]() | ||||
Сообщений: 587 |
Доброго времени суток, уважаемые трейдеры!
Австралийский доллар продолжил рост после выхода данных по ВВП Австралии, которое выросло на 0,6%, по сравнению с предыдущим кварталом, как и прогнозировалось аналитиками. После пробоя ключевого сопротивления 1,0263 (предыдущий месячный объем), рост пары приостановлен на границе сильного сопротивления на уровне 1,0292 (предыдущий месячный объем). В случае дальнейшего роста целевое сопротивление будет находится на 1,0339 (Н4). Уровни поддержки: 1,0225 (вчерашний дневной объем) и 1,0213 (недельный объем фьючерса). В целом, флет и ситуация неоднозначная. Прикрепленные файлы:
| ||||
Сообщений: 2444 |
Ушли по стопу,прорвав границу наклонного канала и уровень сопротивления.
Если смотреть на м30,то от текущих уровней существует вероятность формирования цикла вниз. Ключевой уровень сопротивления:1.0315. Murrex AO-положительно направлен.Призывает к осторожности. Целевые уровни формирования цикла вниз:1.0225 и 1.0195. ![]() Никогда и ничего не просите! Сами предложат и сами всё дадут | ||||
Сообщений: 241 |
Доброго времени суток. Как видим на четырёхчасовом графике цена образовала разворотный пин бар. Исходя из этого расчитываю на снижение цены к пробитой линии низходящего тренда и развитие нового импульса в северном направлении. Профитной торговли. ![]() | ||||
Сообщений: 1667 |
Пара пробила трендовую линию и закрепилась ниже этой линии,что хорошие условия для торговли на продажу,в подтверждении и показания индикатора.Намереваюсь поставить отложенный ордер на продажу на уровне 1,0262 со стоп лоссом на уровне 1,0280 и с тейк профитом на уровне 1,0237.
![]() | ||||
Сообщений: 0 |
Попытка преодолеть сопротивления 0284 окончилась для быков неудачей, они не сумели укрепится выше данного уровня (что свидетельствует о их слабости) после чего пара начала исполнять южный сценарий, RSI показал сигнал на продажу и дивергенцию, заметен также и выход обьема что только усиливает южный сигнал. ![]() | ||||
Сообщений: 4381 |
| ||||
Сообщений: 1230 |
В виду того что цена находится между линиями Kijun Sen и Tenkan Sen,предполагаю корекцию по данной паре до линии индикатора Ишимоку Senkou Span А.Рекомендую открыть ордер на уровне 1,0254.ТП -до линии индикатора Senkou Span A(возможно пробитие и заход цены в облако индикатора и продвижение цены до линии Senkou Span B), СЛ - 1,0275
![]() | ||||
Сообщений: 838 |
В прогнозе на среду по паре AUD/USD исходя из технического и фундаментального анализа, после выхода новостей из Америки, пара вновь спустилась ниже уровня тренда, завтра ожидаются еще более значимые новости, которые могут так же поддержать доллар, индикаторы так же указывают на дальнейшее снижение, Поэтому в прогнозе на завтра ожидаю снижение пары до 1,0180
![]() | ||||
Сообщений: 0 |
![]() Курс данной валютной пары находится в середине канала Боллинджера, однако более предпочтительным видится движение на юг. О грядущем возникновении южного тренда так же говорит и индикатор MACD. Рекомендую продавать с целью 1.0175, а в случае преодоления этой отметки с целью 1.0110. Рост советую рассматривать лишь после закрепления курса в верхней части канала Боллинджера. |
| В начало страницы |


































