Основные. GBP/USD. Аналитика.
Сообщений: 112 |
всем привет друзья по паре GBP/USD вчера был хороший снижения курса 166 пунктов я так думою наверно сегодня будет рост курса где та 1,5600 и далее. сегодня день новостей буте бдительны может будет качели по индикатору болленжер и стохастик показывает вниз разворота ishyo' нету. всем удач нова профита
| ||||
Сообщений: 838 |
![]() В прогнозе на среду по паре GBP/USD исходя из технического и фундаментального анализов, пара пробила фигуру 1,5500, и дошла до 1,5491, после чего поднялась до 1,5522, где и находиться в данный момент. Так как новости из Европы разочаровали инвесторов, то они могут заинтересоваться более надежными валютами, чем и является фунт. И поэтому сегодня я ожидаю роста фунта к 1,5590. | ||||
Сообщений: 0 |
Пара остается под давлением. Канал нисходящий. Цена ниже линии регрессии.
Пара по-прежнему расположена ниже скользящих ЕМА с периодами 50, 100 и 200, которые направлены вниз и указывают на сохраняющиеся медвежьи настроения, а так же являются рядом уровней сопротивления 1.5598, 1.5638 и 1.5681. MACD расположена в отрицательной зоне, но немного выше своей сигнальной линии, продолжает очень плавно повышаться и тем самым подает сигнал на покупку. Стохастик вплотную приблизился к зоне перепроданности и подает сигнал на продажу. RSI формирует сигнал на покупку. Пробой уровня поддержки 1.5500 - падение к уровням 1.5445, 1.5420 и 1.5400. ![]() | ||||
Сообщений: 241 |
По фунто баксу медведи все таки прошли уровень поддержки +/- 1,5530, теперь данный уровень достаточно сильный уровень сопротивления. Я так думаю, что есть смысл и дальше торговать на понижение с вероятным целевым уровнем поддержки +/- 1,5475, но не факт, что данный уровень окажется сильным, мишки могут и дальше направиться на юг: ![]() | ||||
Сообщений: 4381 |
Пара находится под очень сильным давлением и даже малейшая попытка быков на контратаку разбивается о мощный штурм медведей. Голову не дают поднять. Тем не менее при возможном отскоке к сопротивлению 200- дневной скользящей средней установлен лимитный ордер на открытие короткой позиции.
Sell limit 1.56334 S\L 1.57003. ![]() | ||||
Сообщений: 112 |
Фунт одна из немногих пар которая продолжает флетить на протяжении всего дня,Поддержку первую осилили на 1.5479 следующая на 1.5417...неужели рванем сразу туда? Что то не верится...
| ||||
Сообщений: 587 |
Доброго времени суток, уважаемые трейдеры!
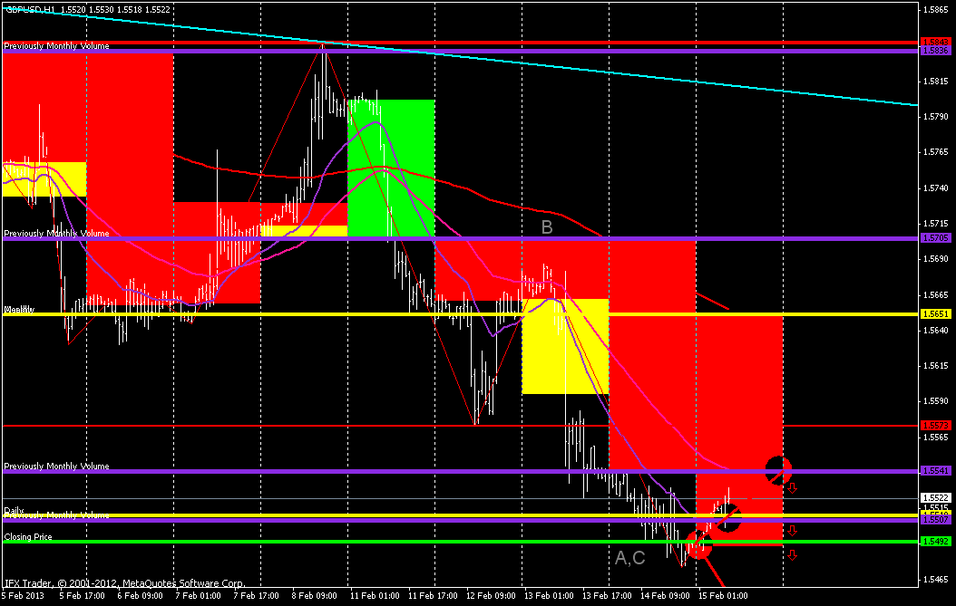
В центре внимания, сегодня, данные о розничных продажах из Великобритании, которые выйдут в 13:30 (МСК). Ожидается рост показателя, как в годовом, так и в месячном исчислении. Фунт достиг целевых уровней снижения 1,5541 и 1,5507 (предыдущий месячный объем) и, в данное время, корректируется и продолжает формирование нисходящей импульсной волны А,С (Н1, Н4). Технически, пара находится под давлением, так как торгуется ниже ключевого сопротивления 1,5651, где находится месячный и недельный объем фьючерса, и в красной зоне продаж, сформированной горизонтальными объемами фьючерса. Пока только продавать, с целевыми уровнями 1,5507 (предыдущий месячный объем) и 1,5391 (минимум июля 2012 года). Прикрепленные файлы:
| ||||
Сообщений: 0 |
Пара пытается корректироваться. Канал нисходящий. Цена выше линии регрессии.
Пара по-прежнему расположена ниже скользящих ЕМА с периодами 50, 100 и 200, которые направлены вниз и указывают на сохраняющиеся медвежьи настроения, а так же являются рядом уровней сопротивления 1.5539, 1.5587 и 1.5644. MACD расположена в отрицательной зоне, но выше своей сигнальной линии, продолжает плавно повышаться и тем самым подает сигнал на покупку. Стохастик находится в зоне перекупленности и формирует сигнал на продажу. RSI Не подает четких сигналов. Рост пары продолжится, а цели быков расположены на 1.5570, 1.5630 и 1.5675. ![]() | ||||
Сообщений: 241 |
По фунту баксу на текущий момент медведи дотянулись до целевого уровня поддержки +/- 1,5475, от которого цена отбилась и направилась на север. Я так думаю, что от данного уровня вполне возможно значительное усиление быков, на что лично и рассчитываю. Еще бы только дождаться пробоя уровня сопротивления +/- 1,5530: ![]() | ||||
Сообщений: 0 |
Доброго дня. Пара отбилась от поддержки низходящего тренда 1.5473. Сейчас наблюдается небольшое коррекционное движение. Коррекция может остановится на отметке цены 1.5532. Если преодалеем этот ценновой уровень, то пойдем к 1.5575. ![]() | ||||
Сообщений: 2444 |
GBP/USD:пока уровень 1.5545 и граница наклонного канала выступают сопротивлением,возможно дальнейшее снижение пары.
М30: ожидается формирование цикла вниз. Murrex AO-отрицательно направлен. Целевые уровни формирования цикла вниз: 1.5455. ![]() Никогда и ничего не просите! Сами предложат и сами всё дадут | ||||
Сообщений: 0 |
Привет торговцам британца!
Профитов)) По фунту, для какого-то подъёма, не желательно опускаться под 1,536 и под 1,53 //это уж как конечная такая, критическая даже))) Вверху есть ориентирчик на 1,568 вот его нужно преодолевать, чтоб уж думать о силе покупателей //или кого-то ещё, кому как нравится Ну и на сегодня отметка пусть будет 1,541 вот её пролупит и тогда уж всё... а пока ещё очень даже может быть Удачи! ![]() | ||||
Сообщений: 1737 |
Валютная пара фунт-доллар находится на нижней границе канала,пока пара в боковике но как я предполагал и ранее пара должна пойти рости к верхней границе канала а уж потом можно и падать еще а так без роста паре тежело будит продолжать падающий тренд,стоит обратить внимание на собрание g20 в Москве,может быть и смена тренда по многим парам. ![]() | ||||
Сообщений: 2444 |
По фунту на м30 пока все указывает на дальнейшее снижение.Граница наклонного канала выступает сопротивлением,вариант со снижением остается в силе.
Целевой уровень:1.5445. ![]() Никогда и ничего не просите! Сами предложат и сами всё дадут | ||||
Сообщений: 0 |
Котировки GBP/USD после спуска вниз вследствие выхода неблагоприятных новостей, установили новый минимум, где располагается отметка 1.5461, после этого цена немного подкорректировалась и вернулась к предыдущему минимуму, отметке 1.5473. Любопытно, что после этого котировки предпринимали попытку вновь подняться (особенно это заметно внутри дня), однако видно, что силы быков сейчас настолько тщетны, что котировки не смогли преодолеть даже и половины этой новостной свечки. ![]() | ||||
Сообщений: 838 |
![]() В прогнозе на пятницу по паре GBP/USD исходя из технического и фундаментального анализов, фунт продолжает торговаться в медвежьем тренде. И сейчас формирует разворот волны. На сегодня ожидаю снижение пары до 1,5490. В краткосрочной перспективе вероятней всего фурс выростит. | ||||
Сообщений: 0 |
![]() | ||||
Сообщений: 279 |
В моём прогнозе на неделю с 18 по 22 февраля фунт по нисходящему тренду опустится до отметки 1.5435 за тем последует очередная коррекция к 1.5580 и выше к 1,6000 и за тем вновь полседует новая волна нисходящего движения к 1,5460! ![]() | ||||
Сообщений: 0 |
![]() | ||||
Сообщений: 179 |
По фунту ожидаю в скорем времени небольшой откат вверх.
Линия +DI почти на нуле, что говорит о будущем небольшом движении вверх. ADX добрался довольно высоко, что только подтверждает ожидания. ![]() |
| В начало страницы |

































